Viimeisin päivitys :
05/12/2025
Verenpainelääkkeet   Enalapril maleate  
Oraaliliuos
Vakaus lääkevalmisteen Stabilius seoksissa Tekijät, jotka vaikuttavat stabiliuteen Yhteensopivuus Viitteet pdf
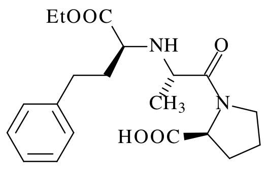
   Kemiallinen rakenne  

Oraaliliuos
Vakaus lääkevalmisteen   Oraaliliuos   Vakaus lääkevalmisteen : Enalapril maleate     
Astia Origine Apuaine Lämpötila Säilytys Vakauden kesto Viitteet
Lasi Jauhe 30 mg
® = ?
Sitruunahappo 177 mg
Vetykloridihappo 0,1M 12,3 mL
NaOH 0,1M 1,7 mL
Puhdistettu vesi 8,5 mL
Sokerivesi >> 30 mL
2-8°C Ei määritetty
50 Päivä
4097

Lasi Jauhe 30 mg
® = ?
Polysorbaatti 80 32 µl
Oral Mix® >> 30 ml
23-27°C Ei määritetty
90 Päivä
3921

Lasi Tabletit 30 mg
Vasotec®
Polysorbaatti 80 32 µl
Oral Mix® >> 30 ml
23-27°C Ei määritetty
90 Päivä
3921

Lasi Jauhe 30 mg
® = ?
Sitruunahappo 177 mg
Vetykloridihappo 0,1M 12,3 mL
NaOH 0,1M 1,7 mL
Puhdistettu vesi 8,5 mL
Sokerivesi >> 30 mL
23-27°C Ei määritetty
50 Päivä
4097

Lasi Jauhe 30 mg
® = ?
Polysorbaatti 80 32 µl
Oral Mix® >> 30 ml
3-7°C Ei määritetty
90 Päivä
3921

Lasi Tabletit 30 mg
Vasotec®
Polysorbaatti 80 32 µl
Oral Mix® >> 30 ml
3-7°C Ei määritetty
90 Päivä
3921

Muovipullo Jauhe 150 mg
® = ? (Fagron)
SyrSpend SF PH4® >> 150 ml
2-8°C Suojattava valolta
90 Päivä
3857

Muovipullo Jauhe 150 mg
® = ? (Fagron)
SyrSpend SF PH4® >> 150 ml
20-25°C Suojattava valolta
90 Päivä
3857

Muovipullo Tabletit 60 mg
Enalapril Merck®
OraPlus® / OraSweet® (1:1) >>60ml
25°C Ei määritetty
91 Päivä
2425

Muovipullo Tabletit 120 mg
®=? (Merck Sharm Dohme)
OraPlus® / OraSweet® (1:1) >> 120 ml
25°C Suojattava valolta
60 Päivä
2422

Muovipullo Tabletit 120 mg
®=? (Merck Sharm Dohme)
OraPlus® / OraSweet SF® (1:1) >> 120 ml
25°C Suojattava valolta
60 Päivä
2422

Muovipullo Tabletit 120 mg
®=? (Merck Sharm Dohme)
Kirsikkasiirappi >> 120 ml
25°C Suojattava valolta
60 Päivä
2422

Muovipullo Jauhe 50 mg
® = USP
Suspendit® >> 100 ml
25°C Suojattava valolta
60 Päivä
4905
Muovipullo Tabletit 60 mg
Enalapril Merck®
OraPlus® / OraSweet® (1:1) >>60ml
4°C Ei määritetty
91 Päivä
2425

Muovipullo Tabletit 60 mg
Enalapril Merck®
Puhdistettu vesi >>60ml
4°C Ei määritetty
91 Päivä
2425

Muovipullo Tabletit 2 mg
Renitec®
Sitraattipuskuri pH 5 >> 20 ml
4°C Suojattava valolta
30 Päivä
2561

Muovipullo Tabletit 20 mg
Renitec®
Sitraattipuskuri pH 5 >> 20 ml
4°C Suojattava valolta
30 Päivä
2561

Muovipullo Tabletit 120 mg
®=? (Merck Sharm Dohme)
OraPlus® / OraSweet® (1:1) >> 120 ml
5°C Suojattava valolta
60 Päivä
2422

Muovipullo Tabletit 120 mg
®=? (Merck Sharm Dohme)
OraPlus® / OraSweet SF® (1:1) >> 120 ml
5°C Suojattava valolta
60 Päivä
2422

Muovipullo Tabletit 120 mg
®=? (Merck Sharm Dohme)
Kirsikkasiirappi >> 120 ml
5°C Suojattava valolta
60 Päivä
2422

Muovipullo Jauhe 50 mg
® = USP
Suspendit® >> 100 ml
5°C Suojattava valolta
180 Päivä
4905
Ruisku Jauhe 1 mg
® = ?
Polysorbaatti 80 1,08 µl
Oral Mix® >> 1 ml
23-27°C Ei määritetty
90 Päivä
3921

Ruisku Tabletit 1 mg
Vasotec®
Polysorbaatti 80 1,08 µl
Oral Mix® >> 1 ml
23-27°C Ei määritetty
90 Päivä
3921

Ruisku Jauhe 1 mg
® = ?
Polysorbaatti 80 1,08 µl
Oral Mix® >> 1 ml
3-7°C Ei määritetty
90 Päivä
3921

Ruisku Tabletit 1 mg
Vasotec®
Polysorbaatti 80 1,08 µl
Oral Mix® >> 1 ml
3-7°C Ei määritetty
90 Päivä
3921


  Mentions Légales