viimane versioon :
05/12/2025
Antihüpertensiivne ravim   Enalapril maleate  
suukaudne lahus
Stabiilsust ravimpreparaadid Stabiilsust mõjutavad tegurid stabiilsust mõjutavad faktorid Sobimatus Viited pdf
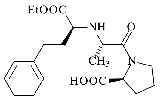
   keemiline struktuur  

suukaudne lahus
Stabiilsust ravimpreparaadid   suukaudne lahus   Stabiilsust ravimpreparaadid : Enalapril maleate     
konteiner Origine  abiaine temperatuur ladustamine Stabiilsuse kestus Viited
klaas pulber 30 mg
® = ?
sidrunhape 177 mg
vesinikkloriidhape 0,1M 12,3 mL
NaOH 0,1M 1,7 mL
Puhastatud vesi 8,5 mL
Lihtsiirup >> 30 mL
2-8°C pole täpsustatud
50 päev
4097

klaas pulber 30 mg
® = ?
polüsorbaat 80 32 µl
Oral Mix® >> 30 ml
23-27°C pole täpsustatud
90 päev
3921

klaas tabletid 30 mg
Vasotec®
polüsorbaat 80 32 µl
Oral Mix® >> 30 ml
23-27°C pole täpsustatud
90 päev
3921

klaas pulber 30 mg
® = ?
sidrunhape 177 mg
vesinikkloriidhape 0,1M 12,3 mL
NaOH 0,1M 1,7 mL
Puhastatud vesi 8,5 mL
Lihtsiirup >> 30 mL
23-27°C pole täpsustatud
50 päev
4097

klaas pulber 30 mg
® = ?
polüsorbaat 80 32 µl
Oral Mix® >> 30 ml
3-7°C pole täpsustatud
90 päev
3921

klaas tabletid 30 mg
Vasotec®
polüsorbaat 80 32 µl
Oral Mix® >> 30 ml
3-7°C pole täpsustatud
90 päev
3921

Plastikpudel pulber 150 mg
® = ? (Fagron)
SyrSpend SF PH4® >> 150 ml
2-8°C kaitsta valguse eest
90 päev
3857

Plastikpudel pulber 150 mg
® = ? (Fagron)
SyrSpend SF PH4® >> 150 ml
20-25°C kaitsta valguse eest
90 päev
3857

Plastikpudel tabletid 60 mg
Enalapril Merck®
OraPlus® / OraSweet® (1:1) >>60ml
25°C pole täpsustatud
91 päev
2425

Plastikpudel tabletid 120 mg
®=? (Merck Sharm Dohme)
OraPlus® / OraSweet® (1:1) >> 120 ml
25°C kaitsta valguse eest
60 päev
2422

Plastikpudel tabletid 120 mg
®=? (Merck Sharm Dohme)
OraPlus® / OraSweet SF® (1:1) >> 120 ml
25°C kaitsta valguse eest
60 päev
2422

Plastikpudel tabletid 120 mg
®=? (Merck Sharm Dohme)
kirsi siirup >> 120 ml
25°C kaitsta valguse eest
60 päev
2422

Plastikpudel pulber 50 mg
® = USP
Suspendit® >> 100 ml
25°C kaitsta valguse eest
60 päev
4905
Plastikpudel tabletid 60 mg
Enalapril Merck®
OraPlus® / OraSweet® (1:1) >>60ml
4°C pole täpsustatud
91 päev
2425

Plastikpudel tabletid 60 mg
Enalapril Merck®
Puhastatud vesi >>60ml
4°C pole täpsustatud
91 päev
2425

Plastikpudel tabletid 2 mg
Renitec®
tsitraatpuhvriga pH 5 >> 20 ml
4°C kaitsta valguse eest
30 päev
2561

Plastikpudel tabletid 20 mg
Renitec®
tsitraatpuhvriga pH 5 >> 20 ml
4°C kaitsta valguse eest
30 päev
2561

Plastikpudel tabletid 120 mg
®=? (Merck Sharm Dohme)
OraPlus® / OraSweet® (1:1) >> 120 ml
5°C kaitsta valguse eest
60 päev
2422

Plastikpudel tabletid 120 mg
®=? (Merck Sharm Dohme)
OraPlus® / OraSweet SF® (1:1) >> 120 ml
5°C kaitsta valguse eest
60 päev
2422

Plastikpudel tabletid 120 mg
®=? (Merck Sharm Dohme)
kirsi siirup >> 120 ml
5°C kaitsta valguse eest
60 päev
2422

Plastikpudel pulber 50 mg
® = USP
Suspendit® >> 100 ml
5°C kaitsta valguse eest
180 päev
4905
süstal pulber 1 mg
® = ?
polüsorbaat 80 1,08 µl
Oral Mix® >> 1 ml
23-27°C pole täpsustatud
90 päev
3921

süstal tabletid 1 mg
Vasotec®
polüsorbaat 80 1,08 µl
Oral Mix® >> 1 ml
23-27°C pole täpsustatud
90 päev
3921

süstal pulber 1 mg
® = ?
polüsorbaat 80 1,08 µl
Oral Mix® >> 1 ml
3-7°C pole täpsustatud
90 päev
3921

süstal tabletid 1 mg
Vasotec®
polüsorbaat 80 1,08 µl
Oral Mix® >> 1 ml
3-7°C pole täpsustatud
90 päev
3921


  Mentions Légales