zadnja posodobitev :
27/01/2026
Antihipertenziv   Enalapril maleate  
Peroralna raztopina
Stabilnost farmacevtskih preparatov Stabilnost mešanice Faktorji, ki vplivajo na stabilnost Kompatibilnost Viri pdf
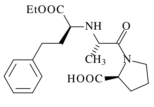
   Kemična formula  

Peroralna raztopina
Stabilnost farmacevtskih preparatov   Peroralna raztopina   Stabilnost farmacevtskih preparatov : Enalapril maleate     
Vsebnik Origine Ekscipient Temperatura Shranjevanje Trajanje stabilnosti Viri
Steklo Prašek 30 mg
® = ?
Citronska kislina 177 mg
Solna kislina 0,1M 12,3 mL
NaOH 0,1M 1,7 mL
Prečiščena voda 8,5 mL
Navadni sirup >> 30 mL
2-8°C Nedoločeno
50 Dan
4097

Steklo Prašek 30 mg
® = ?
Polisorbat 80 32 µl
Oral Mix® >> 30 ml
23-27°C Nedoločeno
90 Dan
3921

Steklo Tablete 30 mg
Vasotec®
Polisorbat 80 32 µl
Oral Mix® >> 30 ml
23-27°C Nedoločeno
90 Dan
3921

Steklo Prašek 30 mg
® = ?
Citronska kislina 177 mg
Solna kislina 0,1M 12,3 mL
NaOH 0,1M 1,7 mL
Prečiščena voda 8,5 mL
Navadni sirup >> 30 mL
23-27°C Nedoločeno
50 Dan
4097

Steklo Prašek 30 mg
® = ?
Polisorbat 80 32 µl
Oral Mix® >> 30 ml
3-7°C Nedoločeno
90 Dan
3921

Steklo Tablete 30 mg
Vasotec®
Polisorbat 80 32 µl
Oral Mix® >> 30 ml
3-7°C Nedoločeno
90 Dan
3921

Plastenka Prašek 150 mg
® = ? (Fagron)
SyrSpend SF PH4® >> 150 ml
2-8°C Zaščiteno pred svetlobo
90 Dan
3857

Plastenka Prašek 150 mg
® = ? (Fagron)
SyrSpend SF PH4® >> 150 ml
20-25°C Zaščiteno pred svetlobo
90 Dan
3857

Plastenka Tablete 60 mg
Enalapril Merck®
OraPlus® / OraSweet® (1:1) >>60ml
25°C Nedoločeno
91 Dan
2425

Plastenka Tablete 120 mg
®=? (Merck Sharm Dohme)
OraPlus® / OraSweet® (1:1) >> 120 ml
25°C Zaščiteno pred svetlobo
60 Dan
2422

Plastenka Tablete 120 mg
®=? (Merck Sharm Dohme)
OraPlus® / OraSweet SF® (1:1) >> 120 ml
25°C Zaščiteno pred svetlobo
60 Dan
2422

Plastenka Tablete 120 mg
®=? (Merck Sharm Dohme)
Sirup češnje >> 120 ml
25°C Zaščiteno pred svetlobo
60 Dan
2422

Plastenka Prašek 50 mg
® = USP
Suspendit® >> 100 ml
25°C Zaščiteno pred svetlobo
60 Dan
4905
Plastenka Tablete 60 mg
Enalapril Merck®
OraPlus® / OraSweet® (1:1) >>60ml
4°C Nedoločeno
91 Dan
2425

Plastenka Tablete 60 mg
Enalapril Merck®
Prečiščena voda >>60ml
4°C Nedoločeno
91 Dan
2425

Plastenka Tablete 2 mg
Renitec®
Citratni pufer pH 5 >> 20 ml
4°C Zaščiteno pred svetlobo
30 Dan
2561

Plastenka Tablete 20 mg
Renitec®
Citratni pufer pH 5 >> 20 ml
4°C Zaščiteno pred svetlobo
30 Dan
2561

Plastenka Tablete 120 mg
®=? (Merck Sharm Dohme)
OraPlus® / OraSweet® (1:1) >> 120 ml
5°C Zaščiteno pred svetlobo
60 Dan
2422

Plastenka Tablete 120 mg
®=? (Merck Sharm Dohme)
OraPlus® / OraSweet SF® (1:1) >> 120 ml
5°C Zaščiteno pred svetlobo
60 Dan
2422

Plastenka Tablete 120 mg
®=? (Merck Sharm Dohme)
Sirup češnje >> 120 ml
5°C Zaščiteno pred svetlobo
60 Dan
2422

Plastenka Prašek 50 mg
® = USP
Suspendit® >> 100 ml
5°C Zaščiteno pred svetlobo
180 Dan
4905
Brizgalka Prašek 1 mg
® = ?
Polisorbat 80 1,08 µl
Oral Mix® >> 1 ml
23-27°C Nedoločeno
90 Dan
3921

Brizgalka Tablete 1 mg
Vasotec®
Polisorbat 80 1,08 µl
Oral Mix® >> 1 ml
23-27°C Nedoločeno
90 Dan
3921

Brizgalka Prašek 1 mg
® = ?
Polisorbat 80 1,08 µl
Oral Mix® >> 1 ml
3-7°C Nedoločeno
90 Dan
3921

Brizgalka Tablete 1 mg
Vasotec®
Polisorbat 80 1,08 µl
Oral Mix® >> 1 ml
3-7°C Nedoločeno
90 Dan
3921


  Mentions Légales