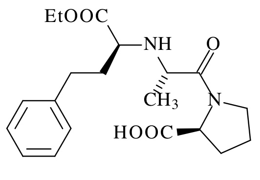
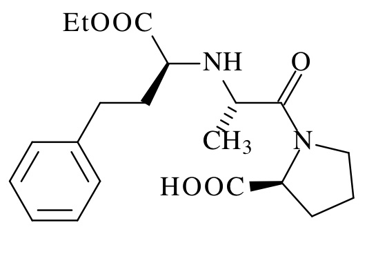
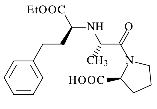
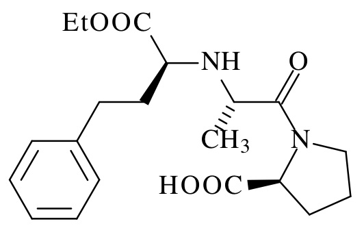
 |
|
30 mg
® = ? |
| Sitruunahappo |
177 mg |
| Vetykloridihappo |
0,1M 12,3 mL |
| NaOH |
0,1M 1,7 mL |
| Puhdistettu vesi |
8,5 mL |
| Sokerivesi |
>> 30 mL |
|
2-8°C |
 |
| 50 |
 |
|
4097
|
|
 |
|
30 mg
® = ? |
| Polysorbaatti 80 |
32 µl |
| Oral Mix® |
>> 30 ml |
|
23-27°C |
 |
| 90 |
 |
|
3921
|
|
 |
|
30 mg
Vasotec® |
| Polysorbaatti 80 |
32 µl |
| Oral Mix® |
>> 30 ml |
|
23-27°C |
 |
| 90 |
 |
|
3921
|
|
 |
|
30 mg
® = ? |
| Sitruunahappo |
177 mg |
| Vetykloridihappo |
0,1M 12,3 mL |
| NaOH |
0,1M 1,7 mL |
| Puhdistettu vesi |
8,5 mL |
| Sokerivesi |
>> 30 mL |
|
23-27°C |
 |
| 50 |
 |
|
4097
|
|
 |
|
30 mg
® = ? |
| Polysorbaatti 80 |
32 µl |
| Oral Mix® |
>> 30 ml |
|
3-7°C |
 |
| 90 |
 |
|
3921
|
|
 |
|
30 mg
Vasotec® |
| Polysorbaatti 80 |
32 µl |
| Oral Mix® |
>> 30 ml |
|
3-7°C |
 |
| 90 |
 |
|
3921
|
|
 |
|
150 mg
® = ? (Fagron) |
| SyrSpend SF PH4® |
>> 150 ml |
|
2-8°C |
 |
| 90 |
 |
|
3857
|
|
 |
|
150 mg
® = ? (Fagron) |
| SyrSpend SF PH4® |
>> 150 ml |
|
20-25°C |
 |
| 90 |
 |
|
3857
|
|
 |
|
60 mg
Enalapril Merck® |
| OraPlus® / OraSweet® (1:1) |
>>60ml |
|
25°C |
 |
| 91 |
 |
|
2425
|
|
 |
|
120 mg
®=? (Merck Sharm Dohme) |
| OraPlus® / OraSweet® (1:1) |
>> 120 ml |
|
25°C |
 |
| 60 |
 |
|
2422
|
|
 |
|
120 mg
®=? (Merck Sharm Dohme) |
| OraPlus® / OraSweet SF® (1:1) |
>> 120 ml |
|
25°C |
 |
| 60 |
 |
|
2422
|
|
 |
|
120 mg
®=? (Merck Sharm Dohme) |
| Kirsikkasiirappi |
>> 120 ml |
|
25°C |
 |
| 60 |
 |
|
2422
|
|
 |
|
50 mg
® = USP |
|
25°C |
 |
| 60 |
 |
|
4905
|
|
 |
|
60 mg
Enalapril Merck® |
| OraPlus® / OraSweet® (1:1) |
>>60ml |
|
4°C |
 |
| 91 |
 |
|
2425
|
|
 |
|
60 mg
Enalapril Merck® |
|
4°C |
 |
| 91 |
 |
|
2425
|
|
 |
|
2 mg
Renitec® |
| Sitraattipuskuri |
pH 5 >> 20 ml |
|
4°C |
 |
| 30 |
 |
|
2561
|
|
 |
|
20 mg
Renitec® |
| Sitraattipuskuri |
pH 5 >> 20 ml |
|
4°C |
 |
| 30 |
 |
|
2561
|
|
 |
|
120 mg
®=? (Merck Sharm Dohme) |
| OraPlus® / OraSweet® (1:1) |
>> 120 ml |
|
5°C |
 |
| 60 |
 |
|
2422
|
|
 |
|
120 mg
®=? (Merck Sharm Dohme) |
| OraPlus® / OraSweet SF® (1:1) |
>> 120 ml |
|
5°C |
 |
| 60 |
 |
|
2422
|
|
 |
|
120 mg
®=? (Merck Sharm Dohme) |
| Kirsikkasiirappi |
>> 120 ml |
|
5°C |
 |
| 60 |
 |
|
2422
|
|
 |
|
50 mg
® = USP |
|
5°C |
 |
| 180 |
 |
|
4905
|
|
 |
|
1 mg
® = ? |
| Polysorbaatti 80 |
1,08 µl |
| Oral Mix® |
>> 1 ml |
|
23-27°C |
 |
| 90 |
 |
|
3921
|
|
 |
|
1 mg
Vasotec® |
| Polysorbaatti 80 |
1,08 µl |
| Oral Mix® |
>> 1 ml |
|
23-27°C |
 |
| 90 |
 |
|
3921
|
|
 |
|
1 mg
® = ? |
| Polysorbaatti 80 |
1,08 µl |
| Oral Mix® |
>> 1 ml |
|
3-7°C |
 |
| 90 |
 |
|
3921
|
|
 |
|
1 mg
Vasotec® |
| Polysorbaatti 80 |
1,08 µl |
| Oral Mix® |
>> 1 ml |
|
3-7°C |
 |
| 90 |
 |
|
3921
|
|