Cập nhật lần cuối :
27/01/2026
Kháng sinh   Rifabutin  
Dung dịch uống
Tính ổn định của các chế phẩm Độ ổn định khi trộn lẫn Những yếu tố ảnh hưởng đến độ ổn định Khả năng tương thích Tài liệu tham khảo Pdf
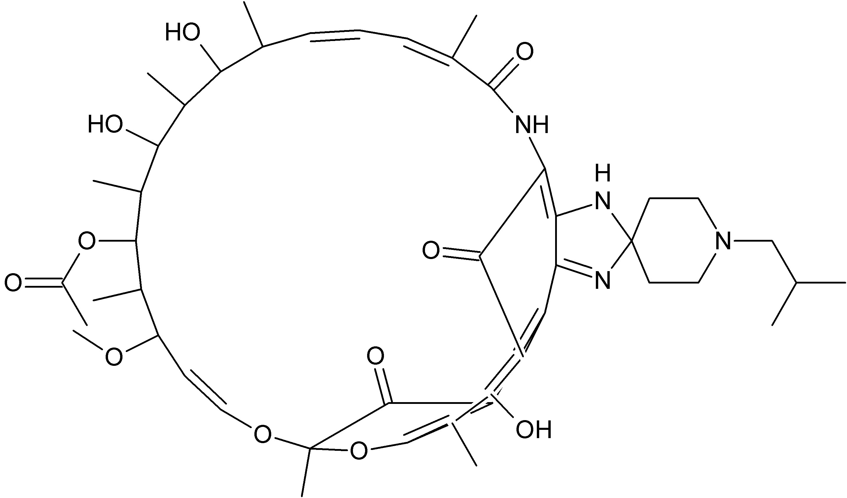
   Cấu trúc hóa học  

Dung dịch uống
Tài liệu tham khảo   Dung dịch uống   Tài liệu tham khảo : Rifabutin  
Loại Nguồn
2419 Tạp chí Haslam JL, Egodage KL, Chen Y, Rajewski RA, Stella V.
Stability of rifabutin in two extemporaneously compounded oral liquids
Am J Health-Syst Pharm 1999 ; 56: 333-336.

  Mentions Légales