Последно актуализиране :
27/01/2026
Антибиотик   Rifabutin  
Орален разтвор
Стабилност на лекарствени препарати Стабилност на смеси Фактори, повлияващи стабилността Съвместимост Библиография Pdf
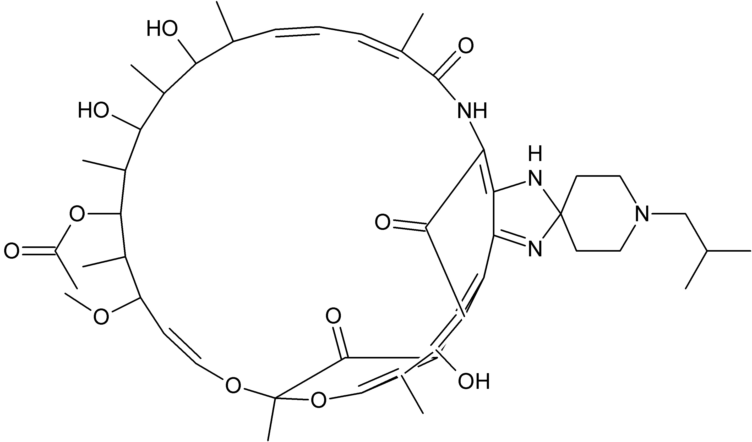
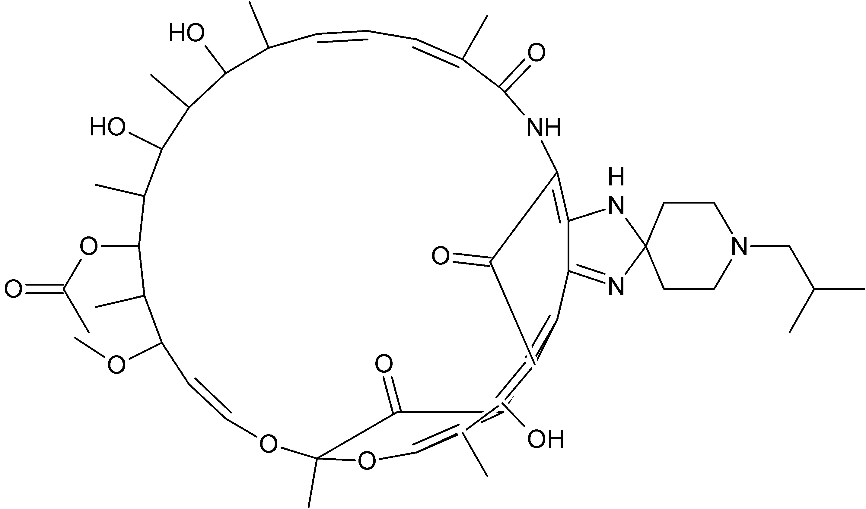
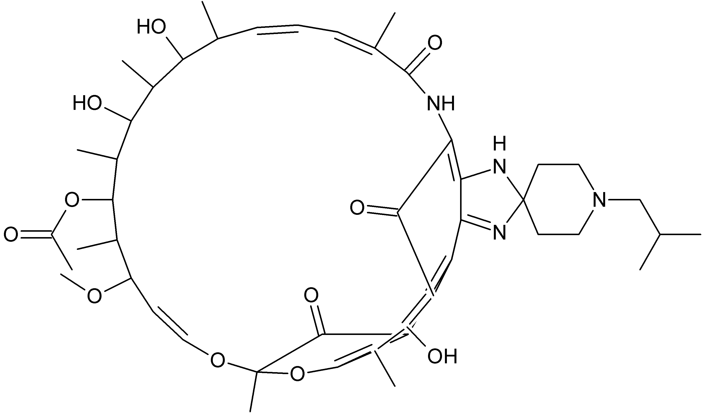
   Химична структура  

Орален разтвор
Библиография   Орален разтвор   Библиография : Rifabutin  
Вид Публикация
2419 Списание Haslam JL, Egodage KL, Chen Y, Rajewski RA, Stella V.
Stability of rifabutin in two extemporaneously compounded oral liquids
Am J Health-Syst Pharm 1999 ; 56: 333-336.

  Mentions Légales