Zadnji put ažurirano :
27/01/2026
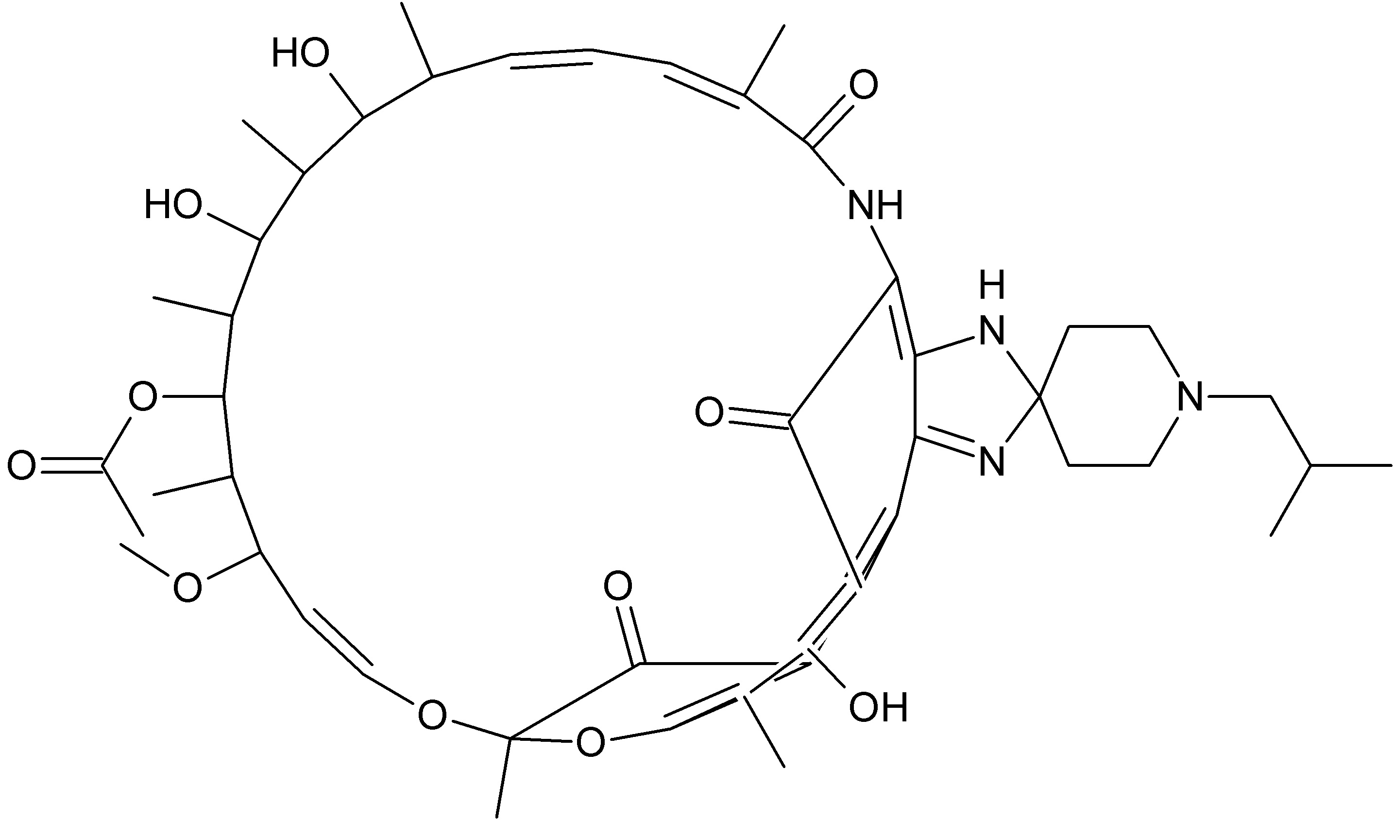
antibiotik   Rifabutin  
oralna otopina
Stabilnost farmaceutskih pripravaka Stabilnost mješavine Stabilizacijski faktor Kompatibilnosti Bibliografija pdf
   Kemijska struktura  

oralna otopina
Bibliografija   oralna otopina     Bibliografija : Rifabutin  
Vrsta Publikacija
2419 Časopis Haslam JL, Egodage KL, Chen Y, Rajewski RA, Stella V.
Stability of rifabutin in two extemporaneously compounded oral liquids
Am J Health-Syst Pharm 1999 ; 56: 333-336.

  Mentions Légales