Останнє оновлення :
27/04/2026
Infostab
Список препаратів
Зведені списки
Пошук сумісності
Таблиця сумісності Y-site
Список літератури
Дослідницькі групи
valistab
Плакати
Посилання
Спонсори
Автори
Посібник користувача
Newsletter
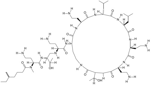
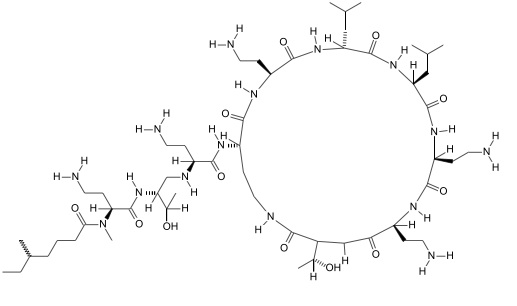
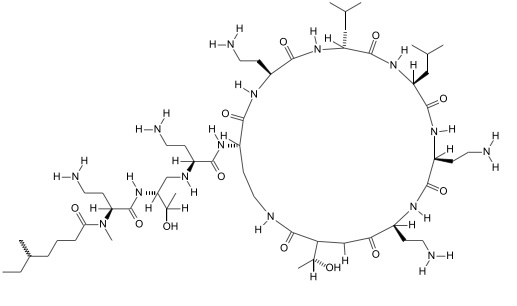
Colistin mesilate sodium
Хімічна структура
Сумісність : Colistin mesilate sodium
explication_incompatibilite_molecules
Excipient
Colistin mesilate sodium
Ipratropium bromide
2550
Mentions Légales