最新更新 :
27/04/2026
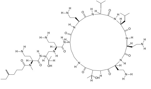
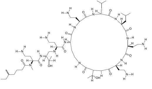
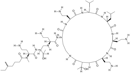
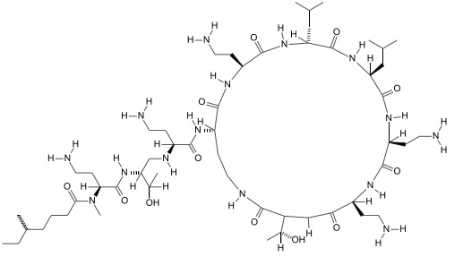
抗生素   Colistin mesilate sodium  
气雾剂
注射液
制剂的稳定性 混合物稳定性 影响稳定性的因素 兼容性 引用文献 PDF
   化学式  

气雾剂
兼容性   气雾剂   兼容性 : Colistin mesilate sodium              
This screen indicates the compatibilities or incompatibilities with, in this case, the type of incompatibility (precipitation, color change, modification of an emulsion, etc.). The compatibilities shown here are mostly physical only, with the chemical stability of each molecule rarely being assessed. The evaluation of these mixtures was studied to consider the possibility of Y-site administration to the patient. These data cannot be used for making mixtures in advance in bags or syringes. This type of information is available in the screen "Stability in mixture ».
分子 Excipient 引用文献

  Mentions Légales