Son güncelleme :
27/04/2026
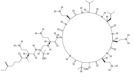
Antibiyotik   Colistin mesilate sodium  
Aerosol
Enjeksiyon
Farmasötik preparatlar Kararlılığı Karışımlardaki stabilitesi Stabiliteyi etkileyen faktörler Uyumluluk Kaynaklar pdf
   Kimyasal yapı   

Aerosol
Uyumluluk   Aerosol   Uyumluluk : Colistin mesilate sodium              
Bu ekran, bu durumda uyumsuzluk tipiyle (çökelme, renk değişimi, bir emülsiyonun modifikasyonu, vb.) Uyumlulukları veya uyumsuzlukları gösterir. Burada gösterilen uyumluluklar çoğunlukla yalnızca fizikseldir ve her molekülün kimyasal stabilitesi nadiren değerlendirilir. Bu karışımların değerlendirilmesi, hastaya Y bölgesi uygulama olasılığını göz önünde bulundurmak için çalışıldı. Bu veriler önceden torba veya şırıngalarda karışım yapmak için kullanılamaz. Bu tür bilgiler "Karışımda stabilite" ekranında mevcuttur.
Bileşik Excipient Kaynaklar

  Mentions Légales