Utolsó frissítés :
27/01/2026
rákellenes gyógyszer   Azacitidine  
Injekció
Az oldatok stabilitása A keverékek stabilitása Stabilitást befolyásoló tényezők Kompatibilitás Az alkalmazás módja Irodalom pdf
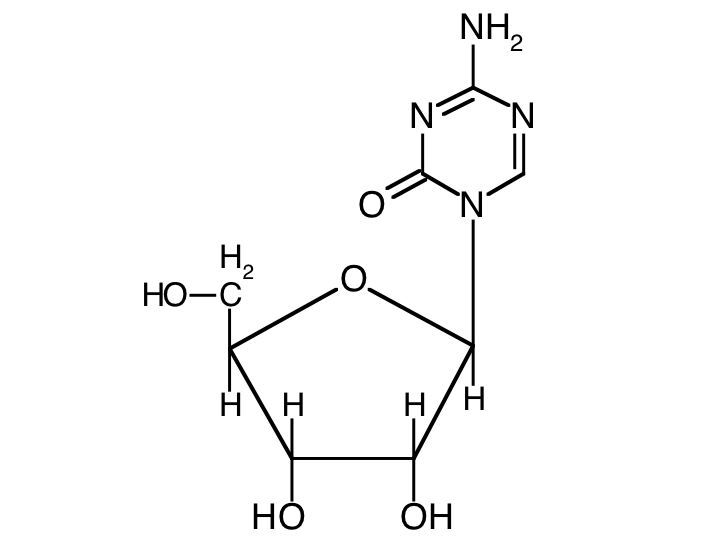
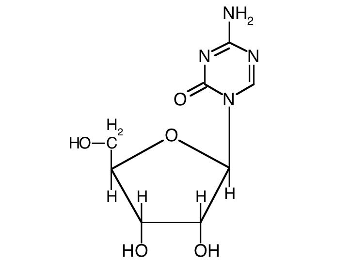
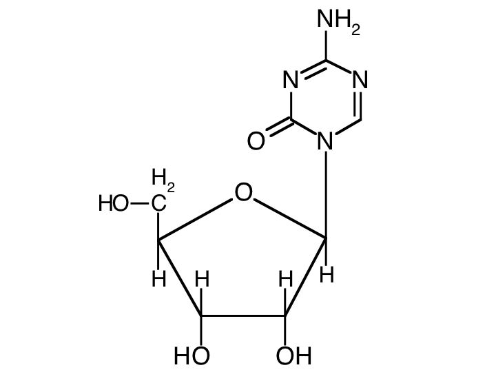
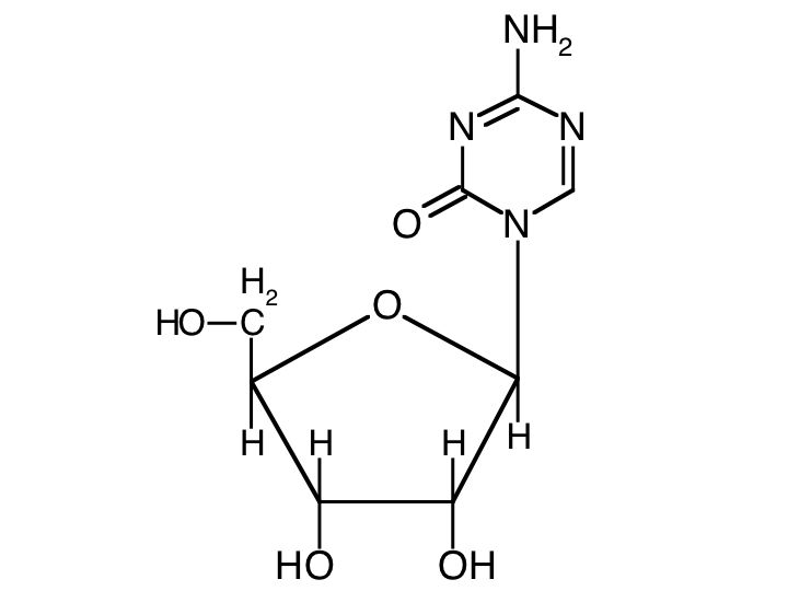
   Kémiai szerkezet   

Kereskedelmi név   Kereskedelmi név     

A kereskedelmi név meghatározó jelentőségű: a készítmények összetétele országonként, előállítóként eltérő lehet

Amilix Argentína
Arquimes Argentína
Azacimyl Chile
Azacitidina Argentína, Chile, Peru
Azacitidine Amerikai Egyesült Államok, Németország
Azacor Peru
Azadin Törökország
Azamex Argentína
Azanova Argentína
Azateva Argentína
Azida Törökország
Azitech Argentína
Citofin Argentína
Iclacitidina Peru
Iterbil Argentína
Maturus Argentína
Mietozitidina Argentína, Peru
Nimodac Argentína
Remitiva Chile
Tazadir Argentína
Vidaza Amerikai Egyesült Államok, Argentína, Ausztrália, Belgium, Brazília, Chile, Colombia, Finnország, Franciaország, Horvátország, Izland, Japán, Kanada, Luxemburg, Magyarország, Malaysia, Mexikó, Nagy-Britannia, Németország, Norvégia, Olaszország, Peru, Románia, Spanyolország, Svájc, Svédország, Szlovénia, Törökország, Tunézia, új-Zéland
Zacidonel Mexikó
Zylatadina Argentína
Kompatibilitás   Injekció   Kompatibilitás : Azacitidine              
Ovdje su prikazane kompatibilnosti ili nekompatibilnosti s tipom nekompatibilnosti (taloženje, promjena boje, modifikacija emulzije itd.) u ovom slučaju. Kompatibilnosti prikazane ovdje najčešće su fizikalne dok se kemijska stabilnost molekule rijetko procjenjuje. Procjena ovih mikstura je proučavana kako bi se razmotrila mogućnost primjene lijeka putem Y-mjesta. Ovi se podaci ne smiju koristiti za pripremu mikstura unaprijed u vrećicama ili štrcaljkama. Ova vrsta informacije se može pronaći u odjeljku « stabilnost u miksturama ».
Vegyület Oldószer Irodalom

  Mentions Légales