Letztes “update” :
27/04/2026
Antikrebsmittel   Azacitidine  
Injektion
Stabilität der Lösung Gemengestabilität Stabilitätbeeinflussende Faktoren Kompatibilitäten Applikationsart Literaturverzeichnis pdf
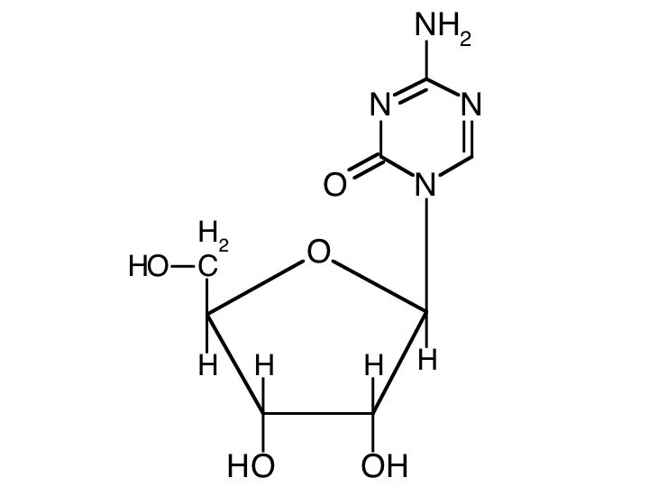
   Chemische Struktur  

Handelsmarke   Handelsmarke     

Handelsnamen sind als beispielhaft anzusehen. Sonstige Bestandteile können je nach Hersteller oder Land verschieden sein

Amilix Argentinien
Arquimes Argentinien
Azacimyl Chile
Azacitidina Argentinien, Chile, Peru
Azacitidine Deutschland, Vereinigte Staaten von Amerika
Azacor Peru
Azadin Türkei
Azamex Argentinien
Azanova Argentinien
Azateva Argentinien
Azida Türkei
Azitech Argentinien
Citofin Argentinien
Iclacitidina Peru
Iterbil Argentinien
Maturus Argentinien
Mietozitidina Argentinien, Peru
Nimodac Argentinien
Remitiva Chile
Tazadir Argentinien
Vidaza Argentinien, Australien, Belgien, Brasilien, Chile, Deutschland, Finnland, Frankreich, Großbritannien, Island, Italien, Japan, Kanada, Kolumbien, Kroatien, Luxemburg, Malaysia, Mexiko, Neuseeland, Norwegen, Peru, Rumänien, Schweden, Schweiz, Slowenien, Spanien, Tunesien, Türkei, Ungarn, Vereinigte Staaten von Amerika
Zacidonel Mexiko
Zylatadina Argentinien
Kompatibilitäten   Injektion   Kompatibilitäten : Azacitidine              
Dieser Bildschirm zeigt die Kompatibilitäten oder Inkompatibilitäten mit der Art der Inkompatibilität (hier: Ausfällung, Farbänderung, Modifikation einer Emulsion usw.) an. Die hier gezeigten Kompatibilitäten sind meist nur physikalisch, wobei die chemische Stabilität jedes Moleküls selten bewertet wird. Die Bewertung dieser Gemische wurde untersucht, um die Möglichkeit einer Verabreichung über eine Y-Verbindung zu berücksichtigen. Diese Daten können daher nicht zur Herstellung von Mischungen im Voraus in Beuteln oder Spritzen verwendet werden. Sie finden diese Informationen auf dem Bildschirm "Stabilität in Mischung».
Molekül Lösungsmittel Literaturverzeichnis

  Mentions Légales