Останнє оновлення :
27/04/2026
Антибіотик   Erythromycin lactobionate  
ін'єкція
Стійкість в розчинах Стійкість сумішей Фактори, що впливають на стабільність Сумісність Шлях введення Список літератури pdf
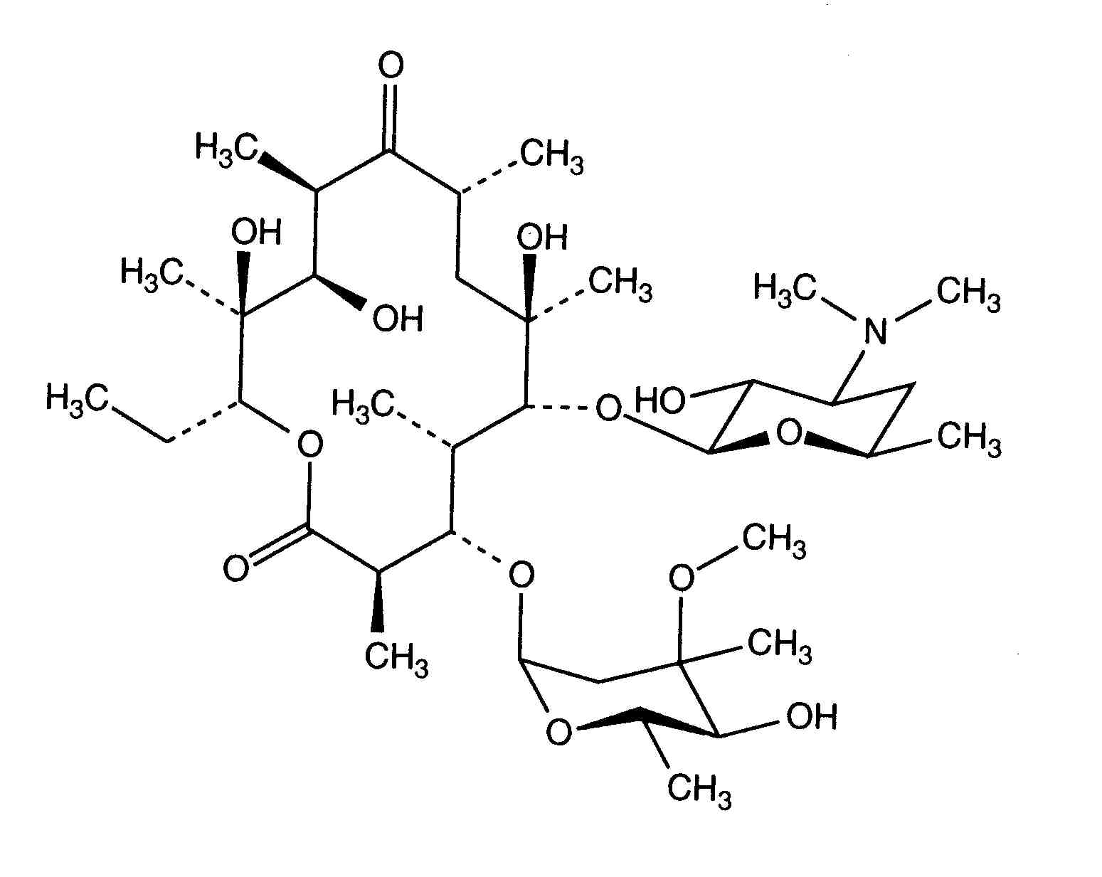
   Хімічна структура  

Торгова назва   Торгова назва     

Торгові назви є орієнтовними, а склад допоміжних речовин може бути різним залежно від країни та виробника

Abboticin Данія, Норвегія, Фінляндія, Швеція
Eristin Аргентина
Erithromicina Чилі
Erycinum Німеччина
Erythrocin Ірландія, Австрія, Австралія, Великобританія, Канада, Німеччина, Нова Зеландія, Саудівська Аравія, Сполучені Штати Америки
Erythrocin lactobionat ADD Vantage Австрія, Австралія
Erythrocine Бельгія, Люксембург, Нідерланди, Туніс, Франція
Erythromycin Великобританія, Німеччина, Саудівська Аравія, Сполучені Штати Америки, Угорщина
Erythromycine Люксембург
Erythromycinum Польща
Pantomicina Іспанія, Чилі
Стійкість сумішей   ін'єкція   Стійкість сумішей : Erythromycin lactobionate     
7 / 5 000 Résultats de traduction Немає даних

  Mentions Légales