Poslední aktualizace :
27/04/2026
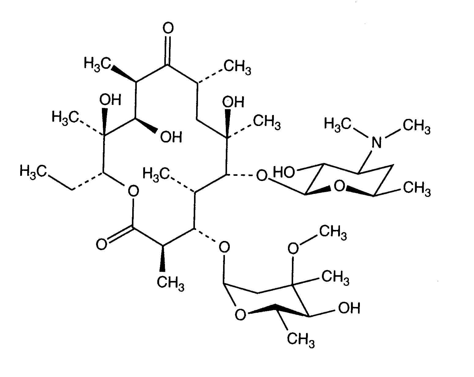
Antibiotikum   Erythromycin lactobionate  
injekce
Stabilita roztoků Stabilita směsí Faktory ovlivňující stabilitu Kompatibilita Způsoby aplikace Odkazy pdf
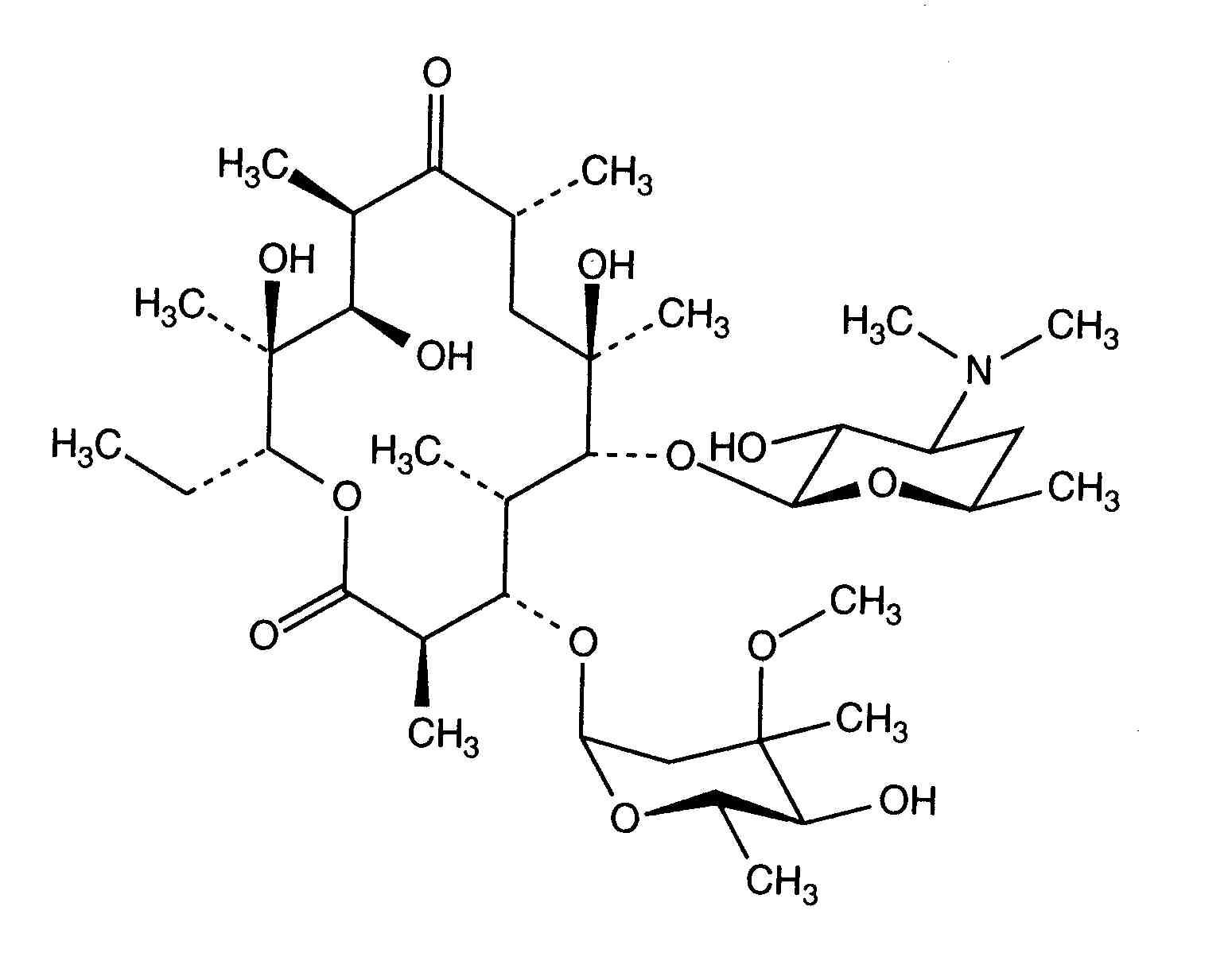
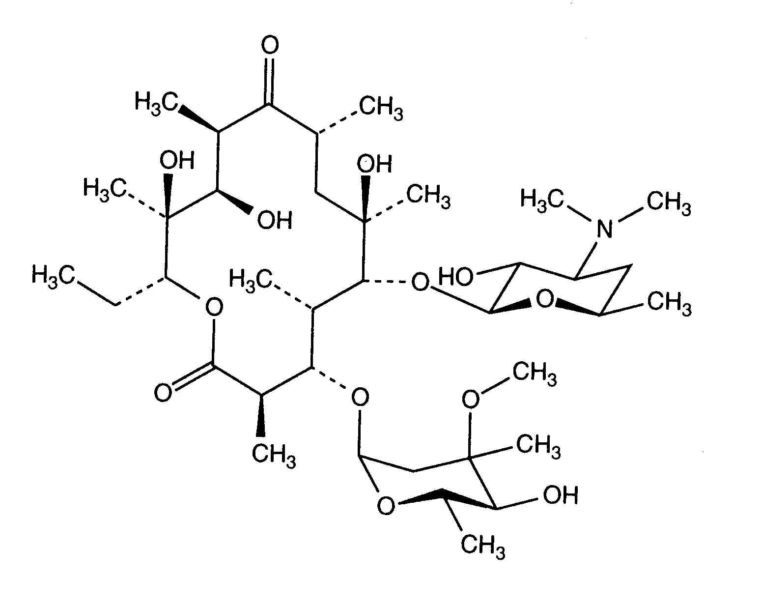
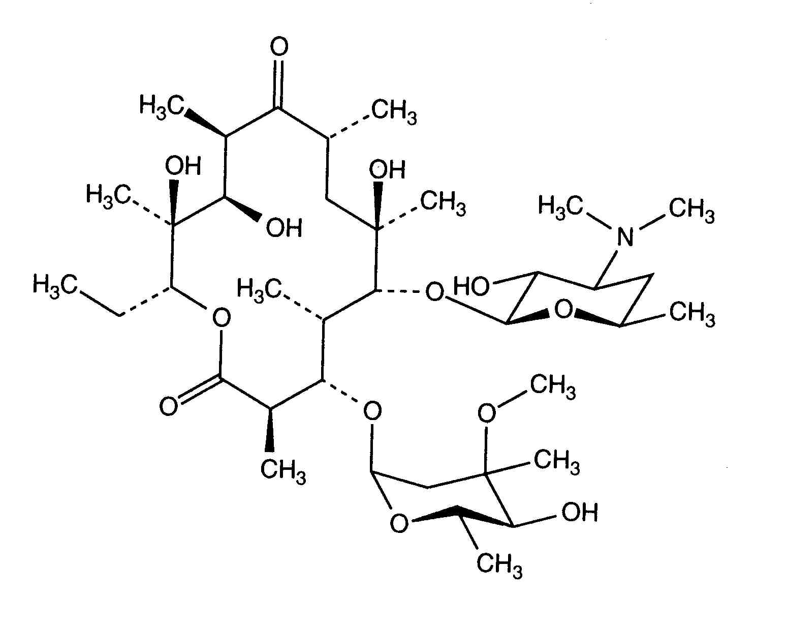
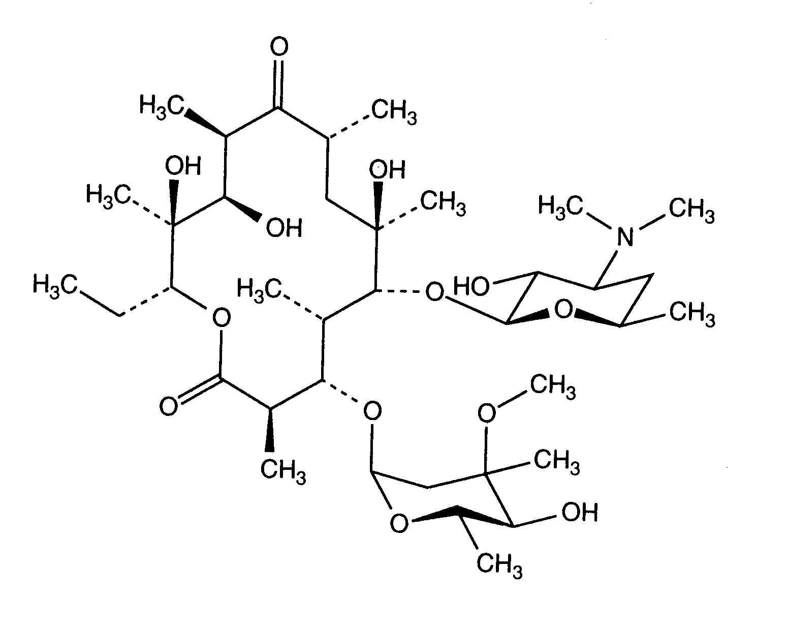
   Chemický vzorec  

Obchodní název   Obchodní název     

Trade names are indicative and excipients composition can be different depending on the country and manufacturers

Abboticin Dánsko, Finsko, Norsko, Švédsko
Eristin Argentina
Erithromicina Chile
Erycinum NÏmecko
Erythrocin Austrálie, Irsko, Kanada, NÏmecko, nový Zéland, Rakousko, Saúdská Arábie, USA, Velká Británie
Erythrocin lactobionat ADD Vantage Austrálie, Rakousko
Erythrocine Belgie, Francie, Lucembursko, Nizozemsko, Tunisko
Erythromycin MaÔarsko, NÏmecko, Saúdská Arábie, USA, Velká Británie
Erythromycine Lucembursko
Erythromycinum Polsko
Pantomicina äpanÏlsko, Chile
Stabilita směsí   injekce   Stabilita směsí : Erythromycin lactobionate     
žádná data

  Mentions Légales