Siste oppdatering :
27/04/2026
Antibiotika   Erythromycin lactobionate  
Injeksjon
Oppløsningsstabilitet Stabilitet i blandinger Faktorer som påvirker stabiliteten Kompatibilitet Administrasjonsmåte Referanser pdf
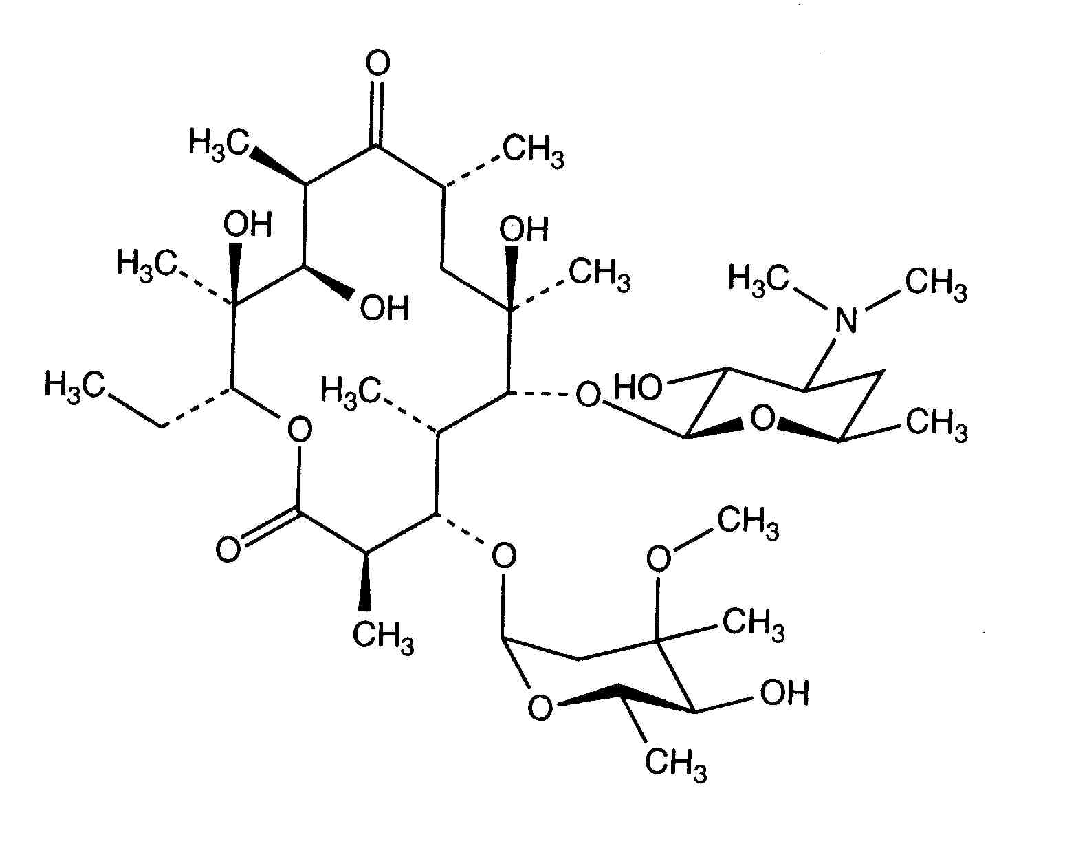
   Kjemisk struktur  

Handelsnavn   Handelsnavn     

Handelsnavn er veiledende og sammensetning av hjelpestoffer kan være forskjellig avhengig av land og produsent

Abboticin Danmark, Finland, Norge, Sverige
Eristin Argentina
Erithromicina Chile
Erycinum Tyskland
Erythrocin Australia, Canada, Irland, New Zealand, Saudi-Arabia, Storbritannia, Tyskland, USA, Østerrike
Erythrocin lactobionat ADD Vantage Australia, Østerrike
Erythrocine Belgia, Frankrike, Luxembourg, Nederland, Tunisia
Erythromycin Saudi-Arabia, Storbritannia, Tyskland, Ungarn, USA
Erythromycine Luxembourg
Erythromycinum Polen
Pantomicina Chile, Spania
Stabilitet i blandinger   Injeksjon   Stabilitet i blandinger : Erythromycin lactobionate     
Ingen opplysninger

  Mentions Légales