Última actualización :
27/04/2026
Antibiótico   Azithromycine  
Inyectables
Preparaciones tópicas
Estabilidad en solucion Estabilidad en mezcla Factores que influyen sobre la estabilidad Compatibilidades método de inyección Bibliografía pdf
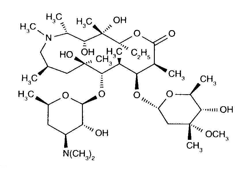
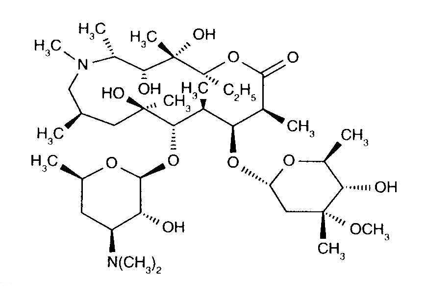
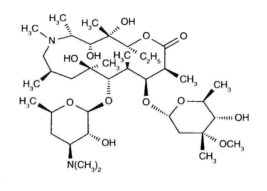
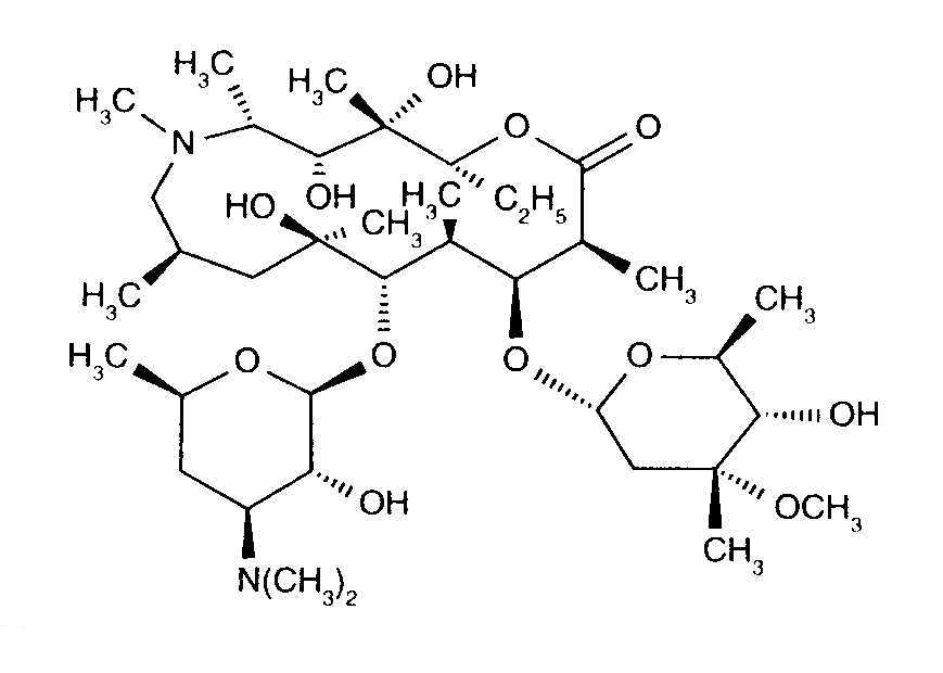
   Estructura química  

Nombre comercial   Nombre comercial     

Los nombres comerciales son orientativos y los excipientes de la formulación pueden ser distintos dependiendo del país y del laboratorio fabricante.

Azithromycin Canadá
Azithromycina Ecuador
Azithromycine Dr Erbeth Alemania
Azitromax Suecia
Sumamed Hungría, Polonia
Zaret Colombia
Zedbac Gran Bretaña, Irlanda
Zetamac República Checa
Zithromac Japón
Zithromax Arabia Saudita, Australia, Canadá, Chile, Egipto, Emiratos Árabes Unidos, Estados Unidos de América, Finlandia, Malasia, Portugal
método de inyección   método de inyección :Azithromycine     
Voie
Perfusión intravenosa

  Mentions Légales