Ultimo aggiornamento :
27/01/2026
Antibiotico   Azithromycine  
Iniezione
Unguenti
Stabilità in soluzione Stabilità in miscela Fattori che influenzano la stabilità Compatibilità metodo di iniezione Bibliografia pdf
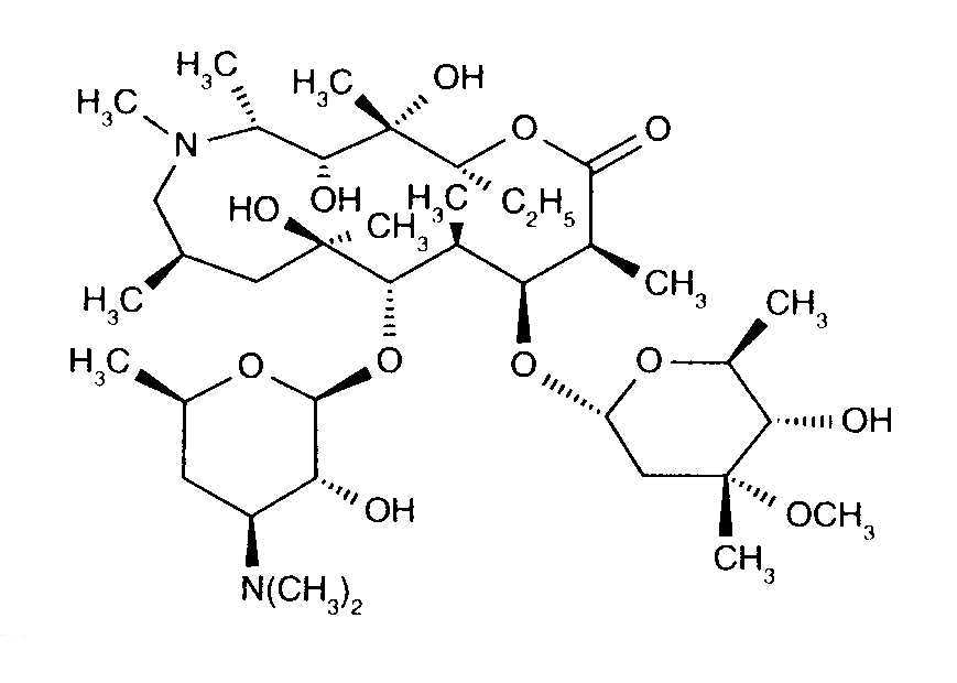
   Struttura chimica  

Nome commerciale   Nome commerciale     

Trade names are indicative and excipients composition can be different depending on the country and manufacturers

Azithromycin Canada
Azithromycina Ecuador
Azithromycine Dr Erbeth Germania
Azitromax Svezia
Sumamed Polonia, Ungheria
Zaret Colombia
Zedbac Gran Bretagna, Irlanda
Zetamac Repubblica Ceca
Zithromac Giappone
Zithromax Arabia Saudita, Australia, Canada, Chile, Egitto, Emirati Arabi Uniti, Finlandia, Malaysia, Portogallo, Stati Uniti d’America
metodo di iniezione   metodo di iniezione :Azithromycine     
Voie
Flebo endovenosa

  Mentions Légales