Son güncelleme :
21/01/2026
kontrast madde   Gadoterate meglumine  
Enjeksiyon
Çözeltilerin stabilitesi Karışımlardaki stabilitesi Stabiliteyi etkileyen faktörler Uyumluluk Uygulama yöntemi Kaynaklar pdf
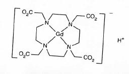
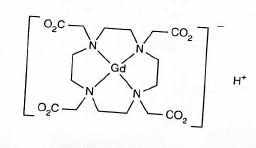
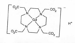
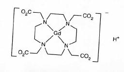
   Kimyasal yapı   

Ticari isim   Ticari isim     

Trade names are indicative and excipients composition can be different depending on the country and manufacturers

Artirem Almanya, Hollanda
Ciclolux Almanya, İspanya
Clariscan Almanya, Avusturya, Belçika, Finlandiya, İrlanda, İspanya, İsveç, İsviçre, Lüksemburg, Macaristan, Norveç, Peru, Şili
Cyclolux Almanya, İspanya, Macaristan
Dotagita Almanya, Romanya
Dotagraf Almanya, İrlanda, İspanya, İsviçre
Dotarem Almanya, Arjantin, Avustralya, Avusturya, Belçika, Danimarka, Finlandiya, Fransa, İran, İrlanda, İspanya, İsveç, İsviçre, İtalya, Kolombiya, Lüksemburg, Macaristan, Malezya, Mısır, Norveç, Peru, Portekiz, Romanya, Şili, Suudi Arabistan, Tunus, Türkiye, Venezuela, Yunanistan
Çözeltilerin stabilitesi   Enjeksiyon    Çözeltilerin stabilitesi : Gadoterate meglumine     
Saklama kabı Çözücü Konsantrasyon Isı Saklama    Stabilite süresi Kaynaklar
Şırınga polipropilen Yok 0,5 mmol/ml 25°C Işıktan koruyunuz
90 Gün
1679
Kanıt düzeyi A

Şırınga polipropilen Yok 0,5 mmol/ml 4°C Işıktan koruyunuz
90 Gün
1679
Kanıt düzeyi A


  Mentions Légales