Last update :
21/01/2026
Radiocontrast agent   Gadoterate meglumine  
injection
Stability in solutions Stability of mixtures Factors which affect stability Compatibility Route of administration References pdf
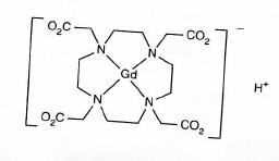
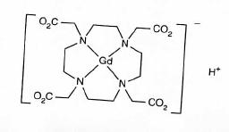
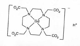
   Chemical structure  

Tradename   Tradename     

Trade names are indicative and excipients composition can be different depending on the country and manufacturers

Artirem Germany, Netherlands
Ciclolux Germany, Spain
Clariscan Austria, Belgium, Chile, Finland, Germany, Hungary, Ireland, Luxembourg, Norway, Peru, Spain, Sweden, Switzerland
Cyclolux Germany, Hungary, Spain
Dotagita Germany, Romania
Dotagraf Germany, Ireland, Spain, Switzerland
Dotarem Argentina, Australia, Austria, Belgium, Chile, Colombia, Denmark, Egypt, Finland, France, Germany, Greece, Hungary, Iran, Ireland, Italy, Luxembourg, Malaysia, Norway, Peru, Portugal, Romania, Saudi Arabia, Spain, Sweden, Switzerland, Tunisia, Turkey, Venezuela
Stability in solutions   injection   Stability in solutions : Gadoterate meglumine     
Container Solvent Concentration Temperature Storage Duration of stability References
Polypropylen Syringe None 0,5 mmol/ml 25°C Protect from light
90 Day
1679
Level of evidence A

Polypropylen Syringe None 0,5 mmol/ml 4°C Protect from light
90 Day
1679
Level of evidence A


  Mentions Légales