Última actualización :
21/01/2026
radiológico agente   Gadoterate meglumine  
Inyectables
Estabilidad en solucion Estabilidad en mezcla Factores que influyen sobre la estabilidad Compatibilidades método de inyección Bibliografía pdf
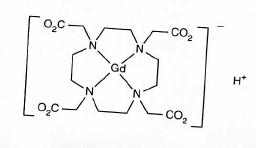
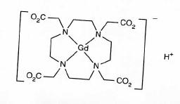
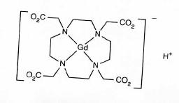
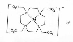
   Estructura química  

Nombre comercial   Nombre comercial     

Los nombres comerciales son orientativos y los excipientes de la formulación pueden ser distintos dependiendo del país y del laboratorio fabricante.

Artirem Alemania, Países Bajos
Ciclolux Alemania, España
Clariscan Alemania, Austria, Bélgica, Chile, España, Finlandia, Hungría, Irlanda, Luxemburgo, Marruecos, Noruega, Suecia, Suiza
Cyclolux Alemania, España, Hungría
Dotagita Alemania, Rumania
Dotagraf Alemania, España, Irlanda, Suiza
Dotarem Alemania, Arabia Saudita, Argentina, Australia, Austria, Bélgica, Chile, Colombia, Dinamarca, Egipto, España, Finlandia, Francia, Grecia, Hungría, Irán, Irlanda, Italia, Luxemburgo, Malasia, Marruecos, Noruega, Portugal, Rumania, Suecia, Suiza, Túnez, Turquía, Venezuela
Estabilidad en solucion   Inyectables   Estabilidad en solucion : Gadoterate meglumine     
Envase Solvente Concentración Temperatura Conservación Duración de la estabilidad Bibliografía
jeringa polipropileno Ninguno 0,5 mmol/ml 25°C A cubierto de la luz
90 Día
1679
Nivel de evidencia A

jeringa polipropileno Ninguno 0,5 mmol/ml 4°C A cubierto de la luz
90 Día
1679
Nivel de evidencia A


  Mentions Légales