Senaste uppdateringen :
27/04/2026
kontrastmedium   Gadoterate meglumine  
injektion
Lösningars stabilitet Stabilitet i blandningar Faktorer som påverkar stabiliteten Kompatibilitet Administreringssätt Hänvisningar pdf
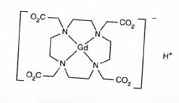
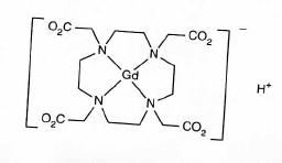
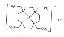
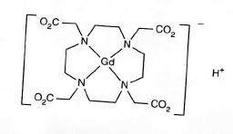
   Molekylstruktur  

Varunamn   Varunamn     

Angivna handelsnamn på läkemedel är enbart vägledande då formulering inklusive hjälpämnen kan variera mellan länder och tillverkare

Artirem Nederländerna, Tyskland
Ciclolux Spanien, Tyskland
Clariscan Belgien, Chile, Finland, Irland, Luxemburg, Norge, Österrike, Peru, Schweiz, Spanien, Sverige, Tyskland, Ungern
Cyclolux Spanien, Tyskland, Ungern
Dotagita Rumänien, Tyskland
Dotagraf Irland, Schweiz, Spanien, Tyskland
Dotarem Argentina, Australien, Belgien, Chile, Colombia, Danmark, Egypten, Finland, Frankrike, Grekland, Iran, Irland, Italien, Luxemburg, Malaysia, Norge, Österrike, Peru, Portugal, Rumänien, Saudi-Arabien, Schweiz, Spanien, Sverige, Tunisien, Turkiet, Tyskland, Ungern, Venezuela
Administreringssätt   Administreringssätt :Gadoterate meglumine     
Voie
Intravenös

  Mentions Légales