Ostatnia aktualizacja :
27/04/2026
kontrastem   Gadoterate meglumine  
Injekcje
Trwałość roztworów Trwałość w mieszaninie Czynnik wpływający na trwałość Zgodność Sposób podania Bibliografia pdf
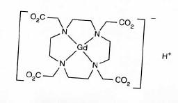
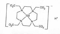
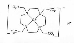
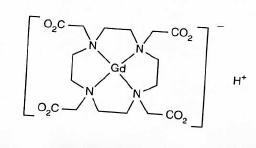
   Struktura chemiczna  

Nazwa handlowa   Nazwa handlowa     

Trade names are indicative and excipients composition can be different depending on the country and manufacturers

Artirem Holandia, Niemcy
Ciclolux Hiszpania, Niemcy
Clariscan Austria, Belgia, Chile, Finlandia, Hiszpania, Irlandia, Luksemburg, Niemcy, Norwegia, Peru, Szwajcaria, Szwecja, Węgry
Cyclolux Hiszpania, Niemcy, Węgry
Dotagita Niemcy, Rumunia
Dotagraf Hiszpania, Irlandia, Niemcy, Szwajcaria
Dotarem Arabia Saudyjska, Argentyna, Australia, Austria, Belgia, Chile, Dania, Egipt, Finlandia, Francja , Grecja, Hiszpania, Iran, Irlandia, KolumbiaKolumbia, Luksemburg, Malezja, Niemcy, Norwegia, Peru, Portugalia, Rumunia, Szwajcaria, Szwecja, Tunisie, Turcja, Węgry, Wenezuela, Włochy
Sposób podania   Sposób podania :Gadoterate meglumine     
Voie
Podanie dożylne

  Mentions Légales