Ultimo aggiornamento :
27/04/2026
mezzo di contrasto   Gadoterate meglumine  
Iniezione
Stabilità in soluzione Stabilità in miscela Fattori che influenzano la stabilità Compatibilità metodo di iniezione Bibliografia pdf
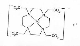
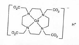
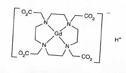
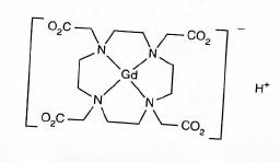
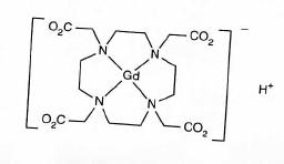
   Struttura chimica  

Nome commerciale   Nome commerciale     

Trade names are indicative and excipients composition can be different depending on the country and manufacturers

Artirem Germania, Paesi Bassi
Ciclolux Germania, Spagna
Clariscan Austria, Belgio, Chile, Finlandia, Germania, Irlanda, Lussemburgo, Norvegia, Perù, Spagna, Svezia, Svizzera, Ungheria
Cyclolux Germania, Spagna, Ungheria
Dotagita Germania, Romania
Dotagraf Germania, Irlanda, Spagna, Svizzera
Dotarem Arabia Saudita, Argentina, Australia, Austria, Belgio, Chile, Colombia, Danimarca, Egitto, Finlandia, Francia, Germania, Grecia, Iran, Irlanda, Italia, Lussemburgo, Malaysia, Norvegia, Perù, Portogallo, Romania, Spagna, Svezia, Svizzera, Tunisia, Turchia, Ungheria, Venezuela
metodo di iniezione   metodo di iniezione :Gadoterate meglumine     
Voie
Endovenosa

  Mentions Légales