Utolsó frissítés :
27/01/2026
Antibiotikum   Spiramycine adipate  
Injekció
Az oldatok stabilitása A keverékek stabilitása Stabilitást befolyásoló tényezők Kompatibilitás Az alkalmazás módja Irodalom pdf
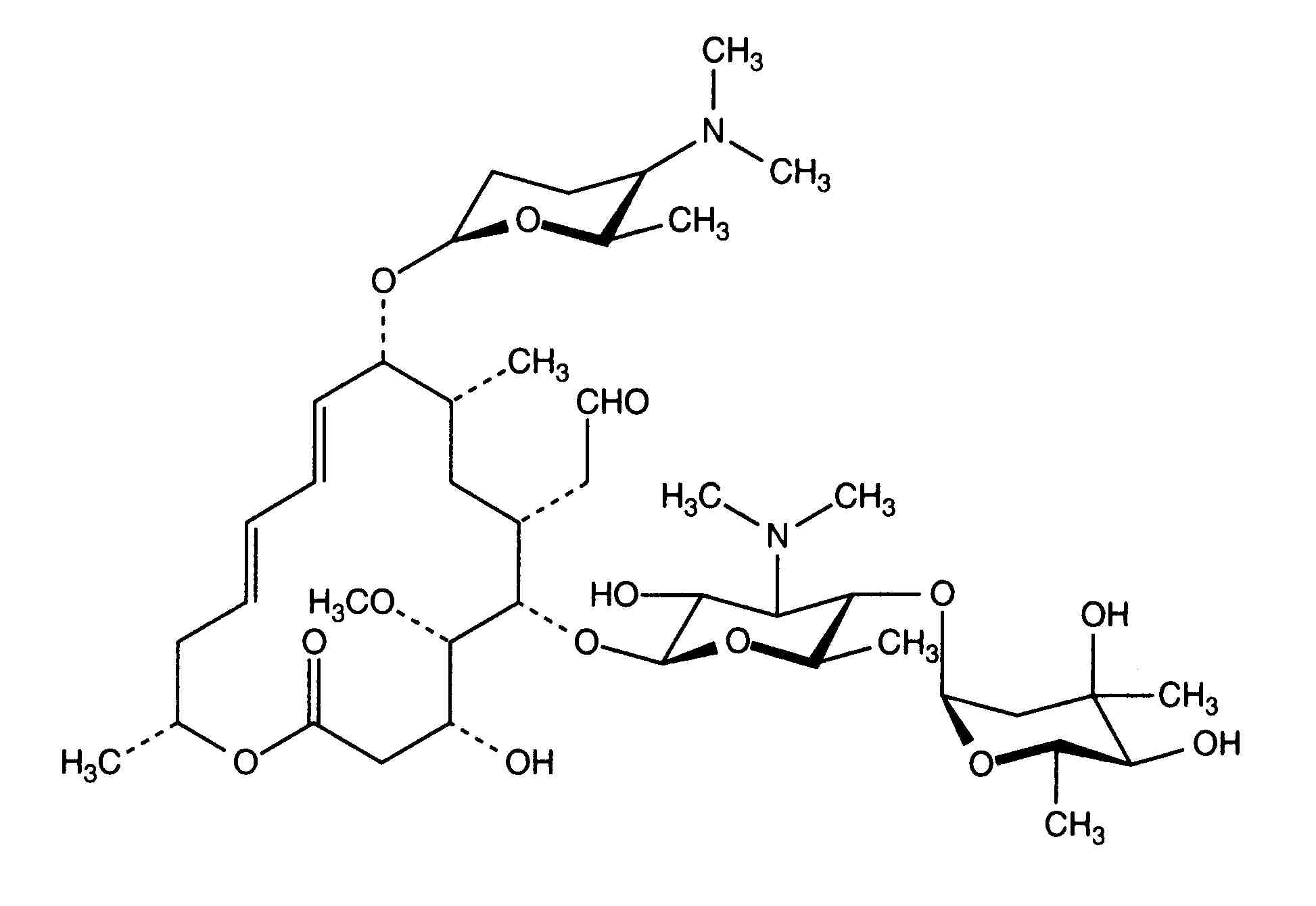
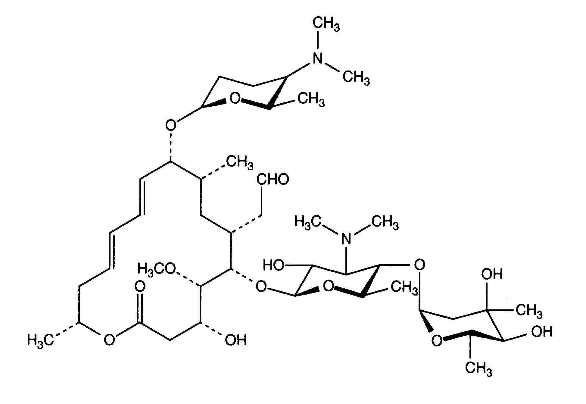
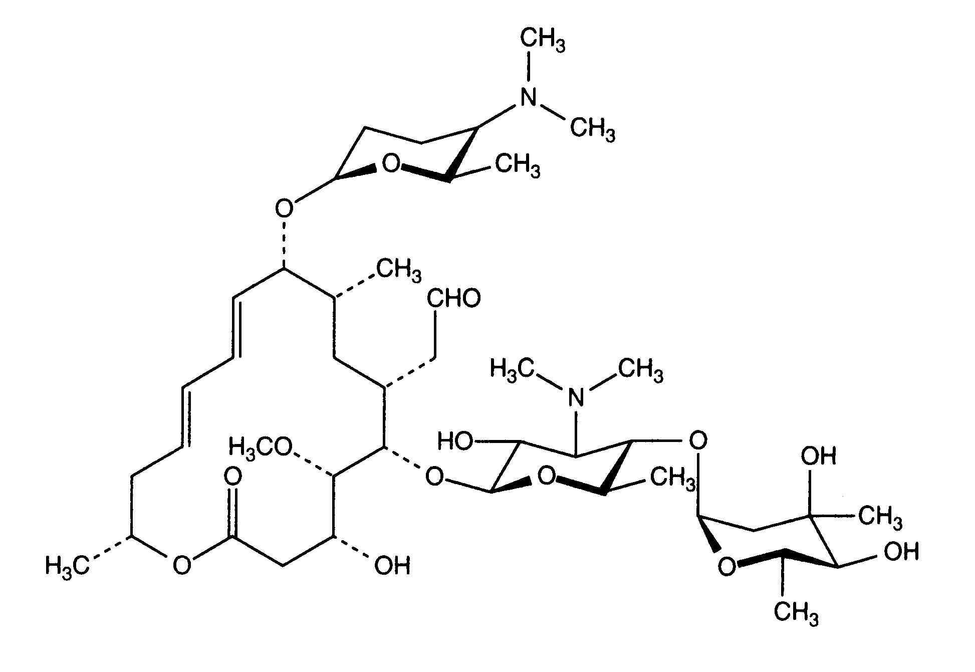
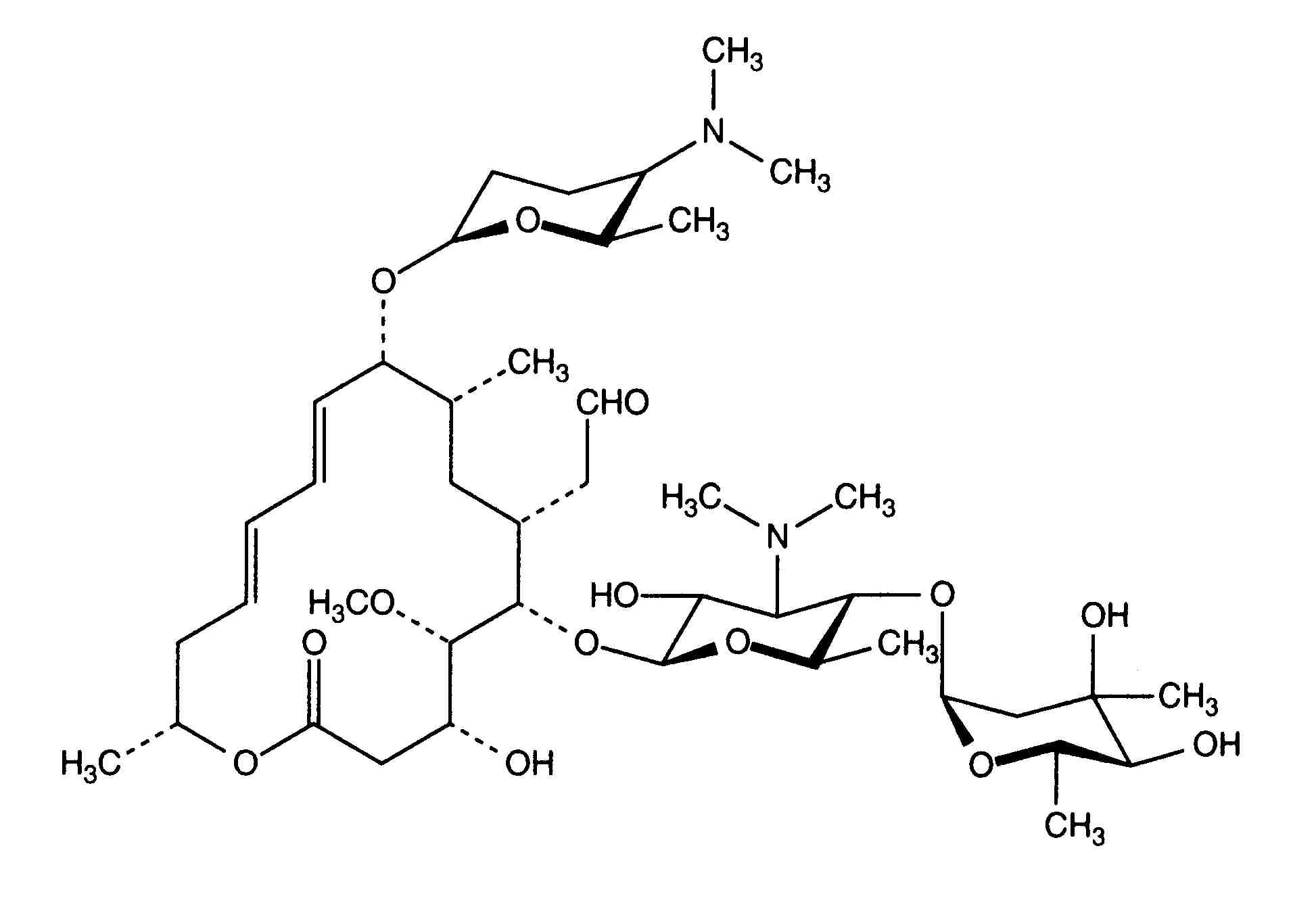
   Kémiai szerkezet   

Kereskedelmi név   Kereskedelmi név     

A kereskedelmi név meghatározó jelentőségű: a készítmények összetétele országonként, előállítóként eltérő lehet

Rovamycine Franciaország, Lengyelország

Stabilitást befolyásoló tényezők   Injekció   Stabilitást befolyásoló tényezők : Spiramycine adipate        
Hiányzó adat

  Mentions Légales