Seneste opdatering :
27/01/2026
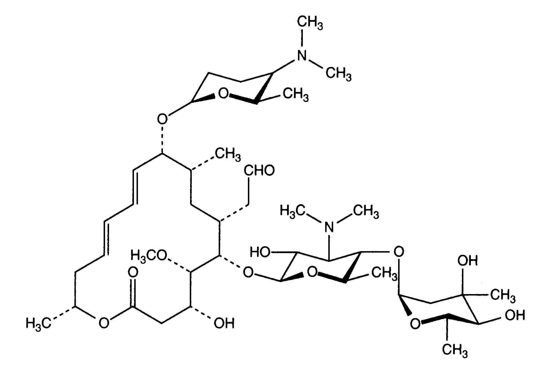
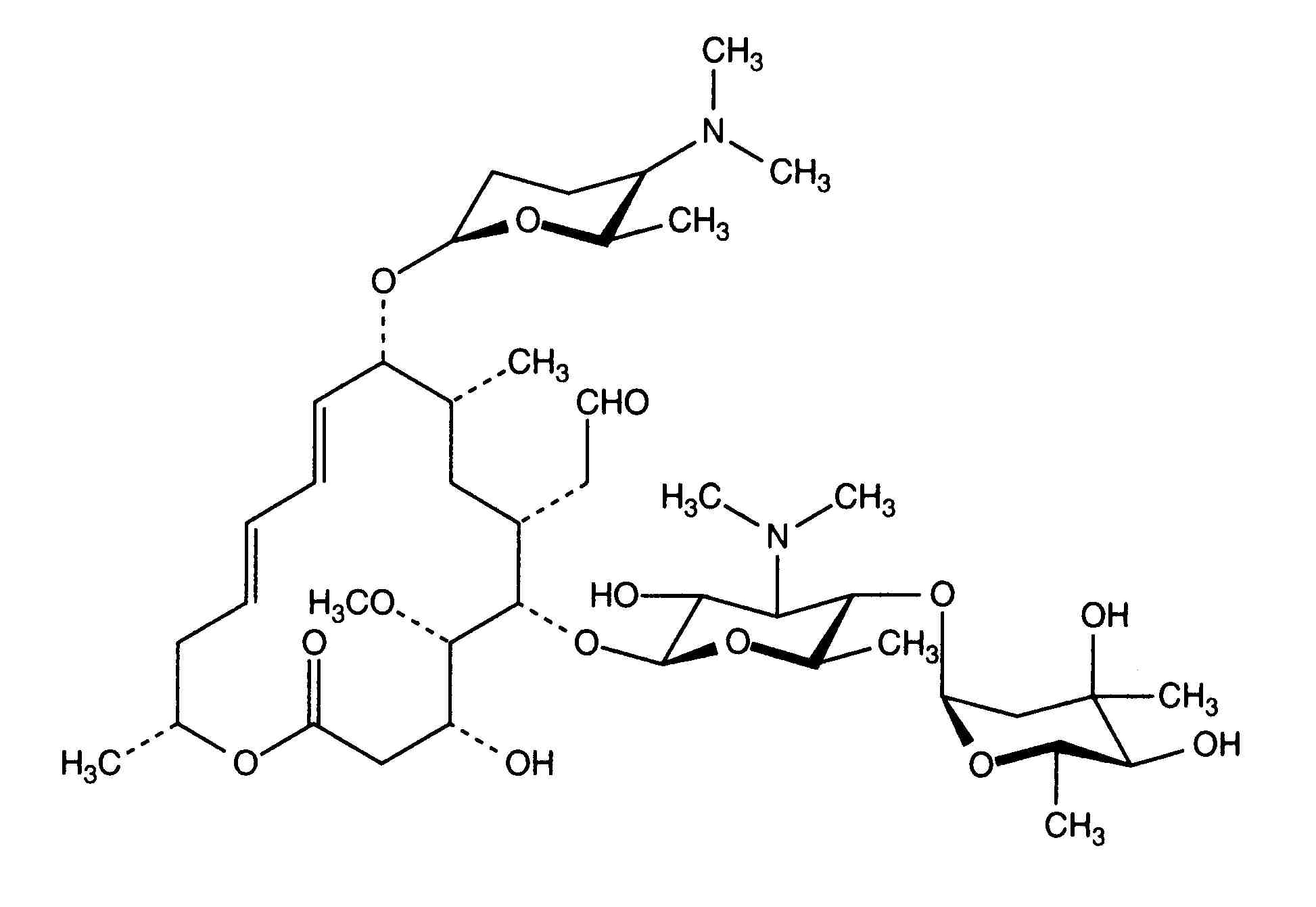
Antibiotisk   Spiramycine adipate  
Injektion
Stabilitet i (vandige) opløsninger Stabilitet i blandinger Faktorer der påvirker stabiliteten Kompatibilitet Administrationsvej Bibliografi pdf
   Kemisk struktur  

Handelsnavn   Handelsnavn     

Handel navne er vejledende og hjælpestoffer sammensætning kan være forskellig afhængigt af landet og laboratorier

Rovamycine Frankrig, Polen

Faktorer der påvirker stabiliteten   Injektion   Faktorer der påvirker stabiliteten : Spiramycine adipate        
Ingen data

  Mentions Légales