viimane versioon :
27/01/2026
antibiootikum   Spiramycine adipate  
Süsteravim
Stabiilsus lahustes Stabiilsust mõjutavad tegurid stabiilsust mõjutavad faktorid Sobimatus Manustamis viis Viited pdf
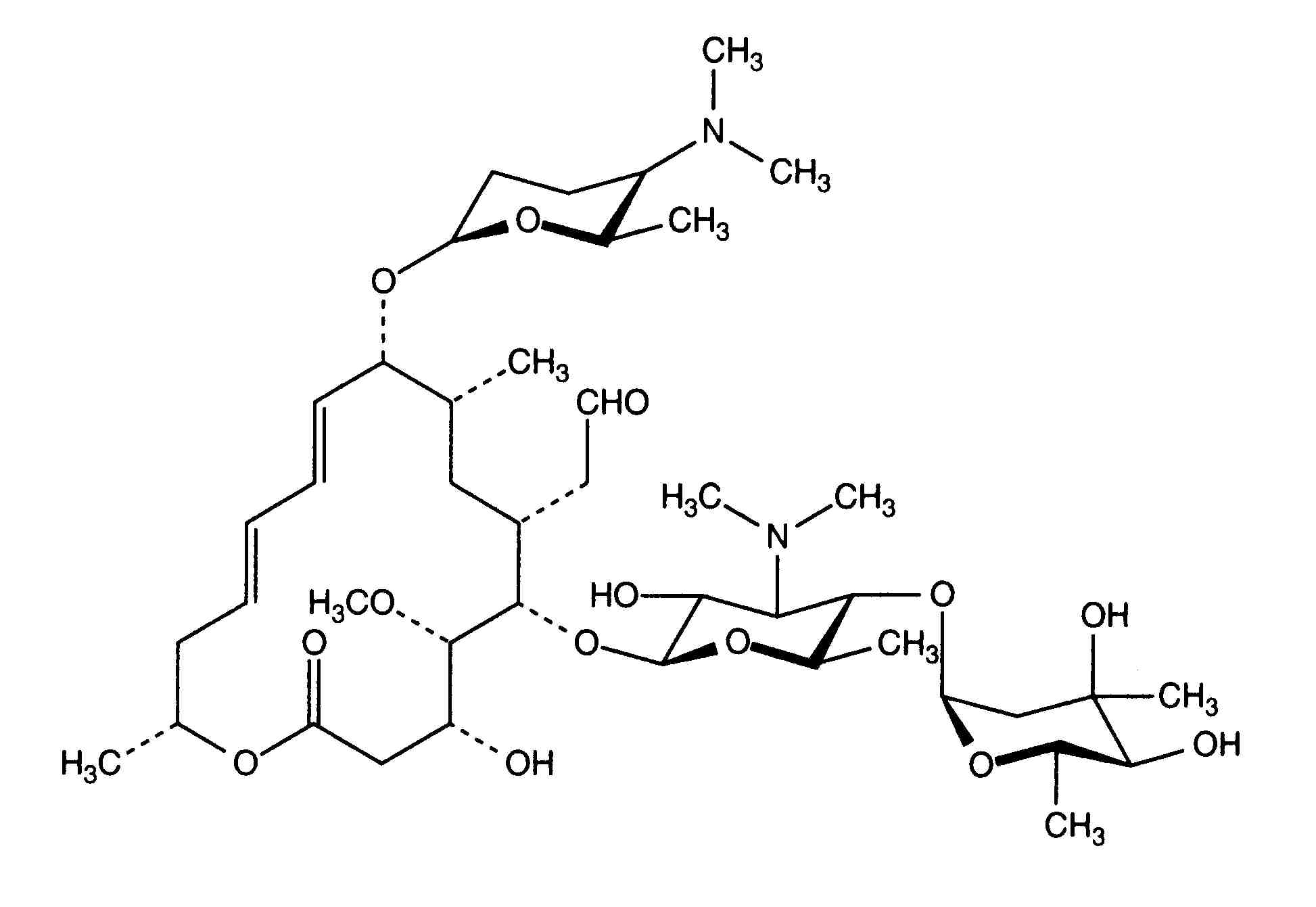
   keemiline struktuur  

Kaubanduslikud nimed erinevates maades   Kaubanduslikud nimed erinevates maades     

Preparaatide nimed on näitlikud ja abianete sisaldus võib erineda sõltuvalt riigist ja laborist

Rovamycine Poola, Prantsusmaa

stabiilsust mõjutavad faktorid   Süsteravim   stabiilsust mõjutavad faktorid : Spiramycine adipate        
andmed puuduvad

  Mentions Légales