Cập nhật lần cuối :
27/01/2026
Thuốc trợ tim   Digoxin  
Dạng tiêm
Tính ổn định của các dung dịch Độ ổn định khi trộn lẫn Những yếu tố ảnh hưởng đến độ ổn định Khả năng tương thích Đường dùng Tài liệu tham khảo Pdf
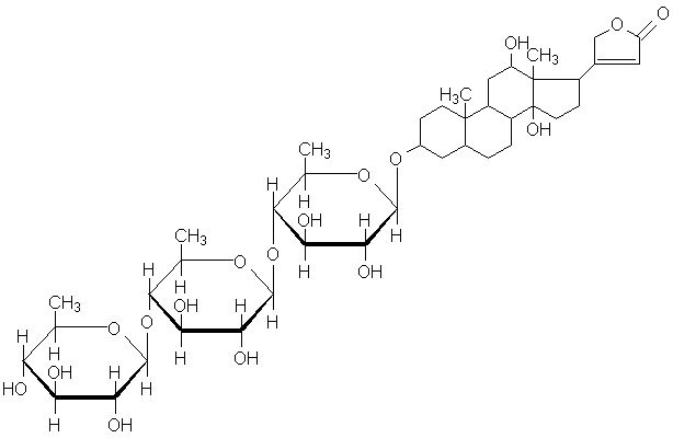
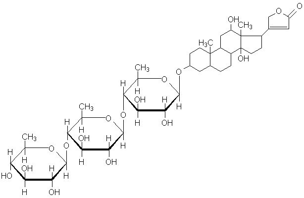
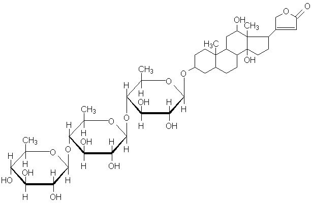
   Cấu trúc hóa học  

Tên thương mại   Tên thương mại     

Các tên thương mại được cung cấp và thành phần tá dược có thể khác nhau giữa các quốc gia và các hãng dược

Cardixin Ả Rập
Celoxin Ấn Độ
Digibind Hoa Kỳ, new zealand
Digocard Argentina, Ecuador
Digosin Nhật
Digoxin Anh, Argentina, Ba Lan, Canada, Ecuador, Hoa Kỳ, Hungary, Iran, Phần Lan, Thụy Điển, Đan Mạch
Digoxina Argentina, Ecuador, Mexico, Tây Ban Nha, Venezuela
Digoxine Hy Lạp, Pháp, Thụy Sỹ
Geoxin Ấn Độ
Lanibos Ả Rập Saudi
Lanicor Đức
Lanoxin Ả Rập, Ả Rập Saudi, Anh, Bỉ, Bồ Đào Nha, Chile, Hà Lan, Hoa Kỳ, Iran, Ireland, Luxembourg, Malaysia, Na Uy, new zealand, United Arab Emirates, Ý
Loxinan Mexico

Những yếu tố ảnh hưởng đến độ ổn định   Dạng tiêm   Những yếu tố ảnh hưởng đến độ ổn định : Digoxin        

  Mentions Légales