Ultimo aggiornamento :
31/03/2026
Cardiotonico   Digoxin  
Iniezione
Stabilità in soluzione Stabilità in miscela Fattori che influenzano la stabilità Compatibilità metodo di iniezione Bibliografia pdf
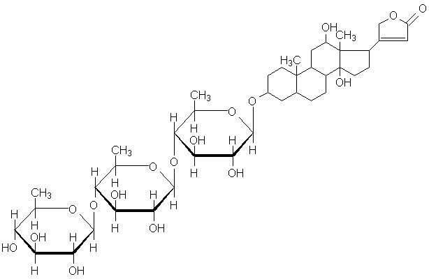
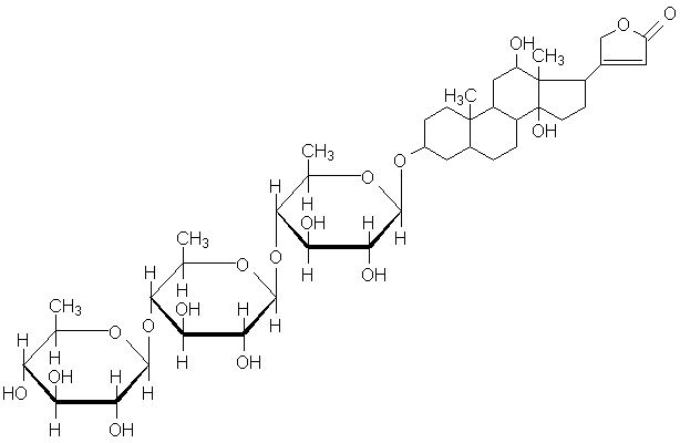
   Struttura chimica  

Nome commerciale   Nome commerciale     

Trade names are indicative and excipients composition can be different depending on the country and manufacturers

Cardixin Egitto
Celoxin India
Digibind nuova Zelanda, Stati Uniti d’America
Digocard Argentina, Ecuador
Digosin Giappone
Digoxin Argentina, Canada, Danimarca, Ecuador, Finlandia, Gran Bretagna, Iran, Polonia, Stati Uniti d’America, Svezia, Ungheria
Digoxina Argentina, Ecuador, Messico, Spagna, Venezuela
Digoxine Francia, Grecia, Svizzera
Geoxin India
Lanibos Arabia Saudita
Lanicor Germania
Lanoxin Arabia Saudita, Belgio, Chile, Egitto, Emirati Arabi Uniti, Gran Bretagna, Iran, Irlanda, Italia, Lussemburgo, Malaysia, Norvegia, nuova Zelanda, Paesi Bassi, Portogallo, Stati Uniti d’America
Loxinan Messico

Fattori che influenzano la stabilità   Iniezione   Fattori che influenzano la stabilità : Digoxin        

  Mentions Légales