Son güncelleme :
27/01/2026
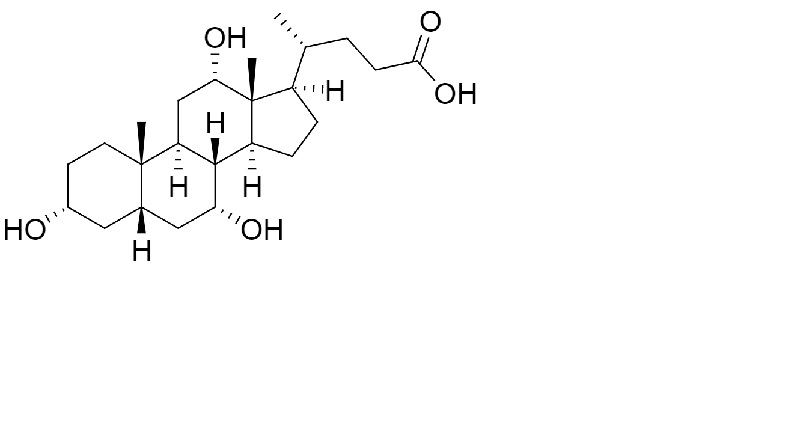
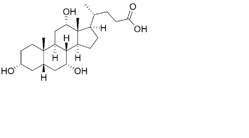
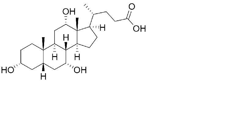
Çeşitli   Cholic acid  
Kapsül
Farmasötik preparatlar Kararlılığı Karışımlardaki stabilitesi Stabiliteyi etkileyen faktörler Uyumluluk Kaynaklar pdf
   Kimyasal yapı   

Kapsül
Kaynaklar   Kapsül   Kaynaklar : Cholic acid  
tip yayın
4751 Dergi Polak Y, Jacobs B.A.W, Bouwhuis N, Hollak C.E.M, Kroon M.A.G.M, Kemper E.M.
Product Validation and Stability Testing of Pharmacy Compounded Cholic Acid Capsules for Dutch Patients with Rare Bile Acid Synthesis Defects.
Pharmaceutics 2023 https://doi.org/10.3390/

  Mentions Légales