Последно актуализиране :
27/01/2026
Infostab
Списък с лекарства
Съдържание
Потърсете съвместимост
Таблица за съвместимост на Y-сайта
Библиография
Изследователски екипи
valistab
Плакат
звена
спонсори
Автори
Ръководство за потребителя
Бюлетин
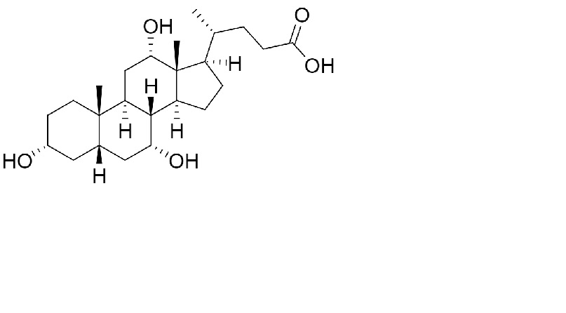
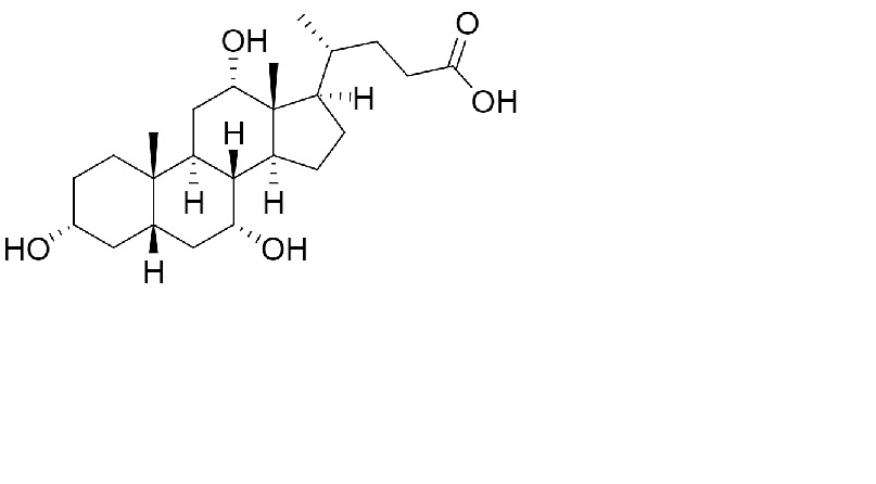
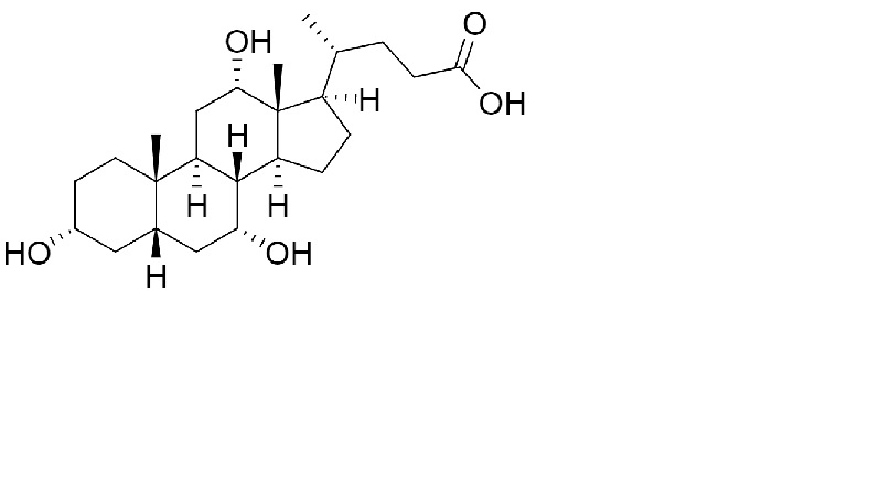
Cholic acid
Химична структура
Библиография : Cholic acid
Вид
Публикация
4751
Списание
Polak Y, Jacobs B.A.W, Bouwhuis N, Hollak C.E.M, Kroon M.A.G.M, Kemper E.M.
Product Validation and Stability Testing of Pharmacy Compounded Cholic Acid Capsules for Dutch Patients with Rare Bile Acid Synthesis Defects.
Pharmaceutics 2023 https://doi.org/10.3390/
Mentions Légales