Τελευταία ενημέρωση :
27/01/2026
Infostab
Καταστάσεις
Περίληψη καταλόγων
Αναζήτηση συμβατοτήτων
Πίνακας Συμβατότητας Υ κέντρου
Βιβλιογραφία
Ερευνητικές ομάδες
valistab
αφίσα
συνδέσεις
χορηγούς
Συγγραφείς
Οδηγίες χρήσης
Ενημερωτικό δελτίο
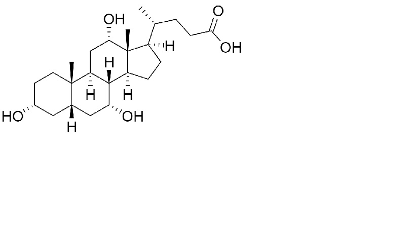
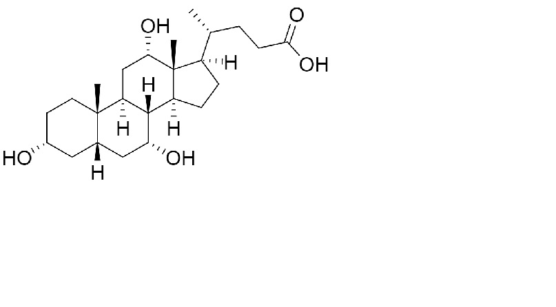
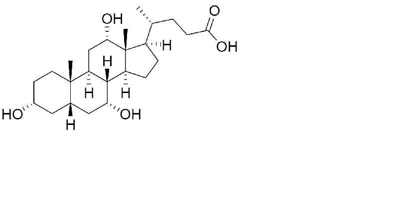
Cholic acid
χημική δομή
Βιβλιογραφία : Cholic acid
τύπος
δημοσίευση
4751
εφημερίδα
Polak Y, Jacobs B.A.W, Bouwhuis N, Hollak C.E.M, Kroon M.A.G.M, Kemper E.M.
Product Validation and Stability Testing of Pharmacy Compounded Cholic Acid Capsules for Dutch Patients with Rare Bile Acid Synthesis Defects.
Pharmaceutics 2023 https://doi.org/10.3390/
Mentions Légales