Senaste uppdateringen :
27/01/2026
Glukosnedsättande   Sitagliptine phosphate  
Oral lösning
Stabilitet av läkemedel Stabilitet i blandningar Faktorer som påverkar stabiliteten Kompatibilitet Hänvisningar pdf
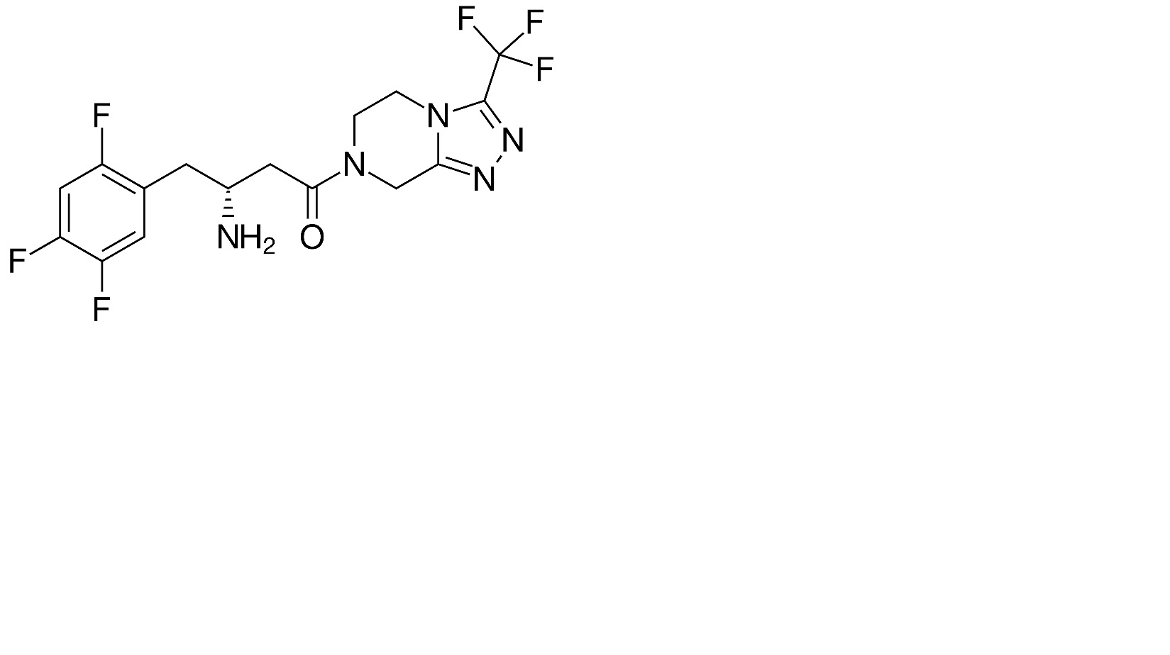
   Molekylstruktur  

Oral lösning
Stabilitet i blandningar   Oral lösning   Stabilitet i blandningar : Sitagliptine phosphate     
Ingen uppgift

  Mentions Légales