Poslední aktualizace :
27/01/2026
Gliukozės kiekį mažinantis vaistas   Sitagliptine phosphate  
Geriamas tirpalas
Stabilumas farmacinių preparatų Mišinių stabilumas Stabilumą lemiantys veiksniai Suderinamumas Bibliografija pdf
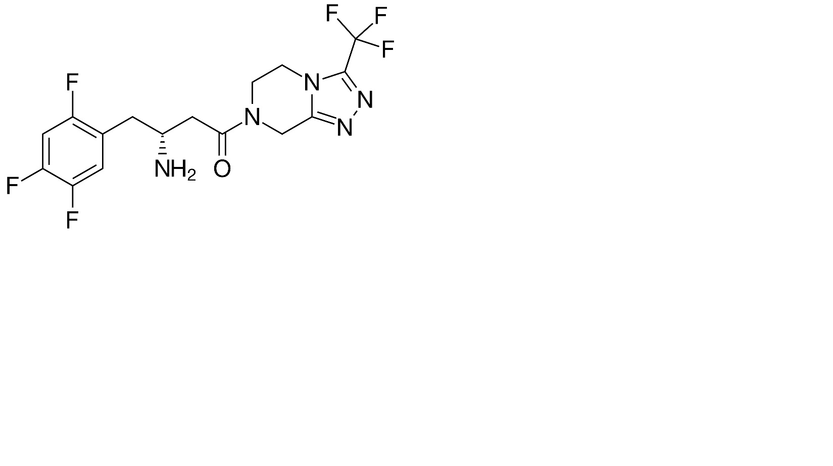
   Cheminė sandara  

Geriamas tirpalas
Mišinių stabilumas   Geriamas tirpalas   Mišinių stabilumas : Sitagliptine phosphate     
Nėra duomenų

  Mentions Légales