Siste oppdatering :
27/01/2026
Glukosesenkende   Sitagliptine phosphate  
Mikstur
Stabilitet av farmasøytiske preparater Stabilitet i blandinger Faktorer som påvirker stabiliteten Kompatibilitet Referanser pdf
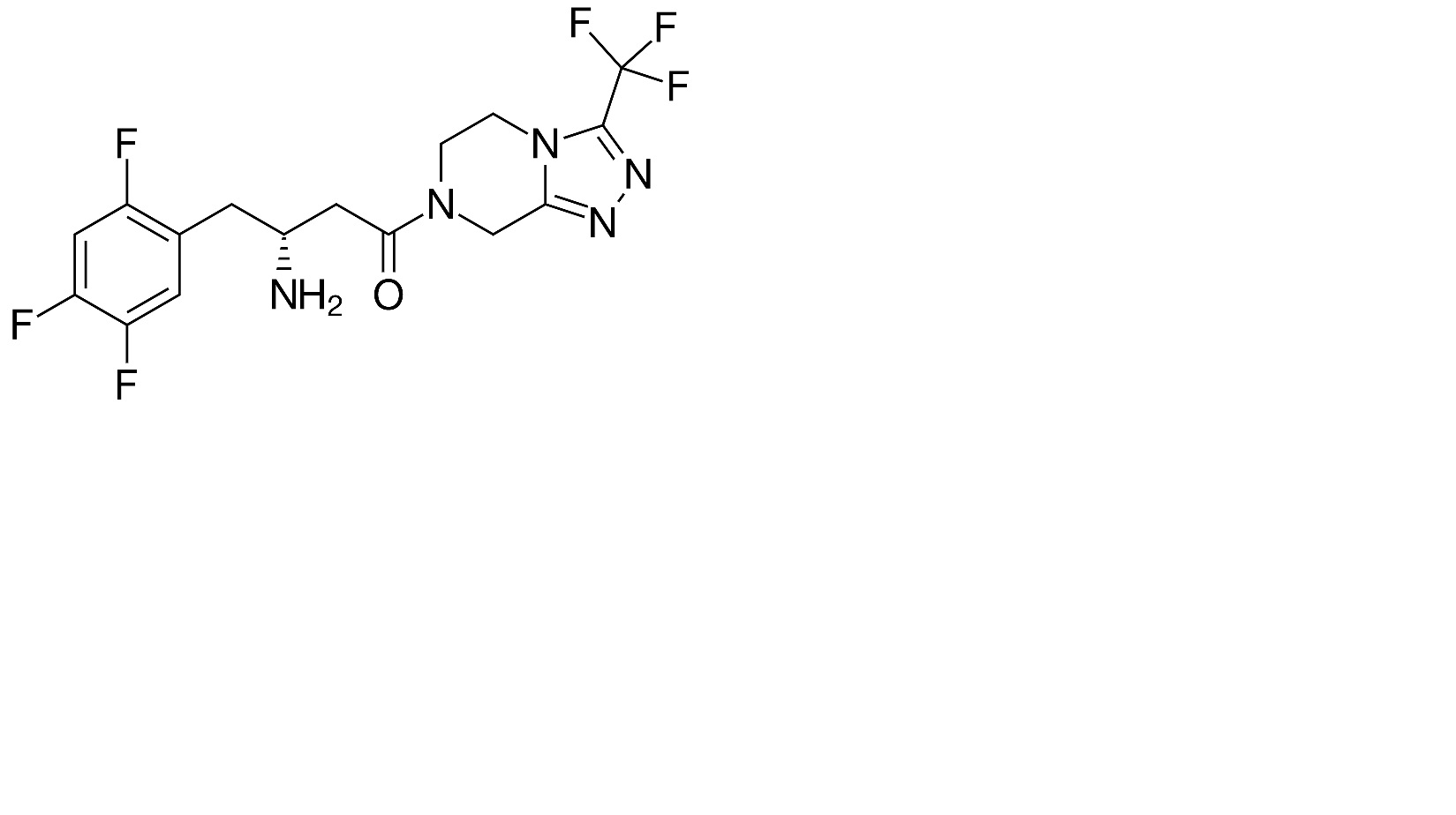
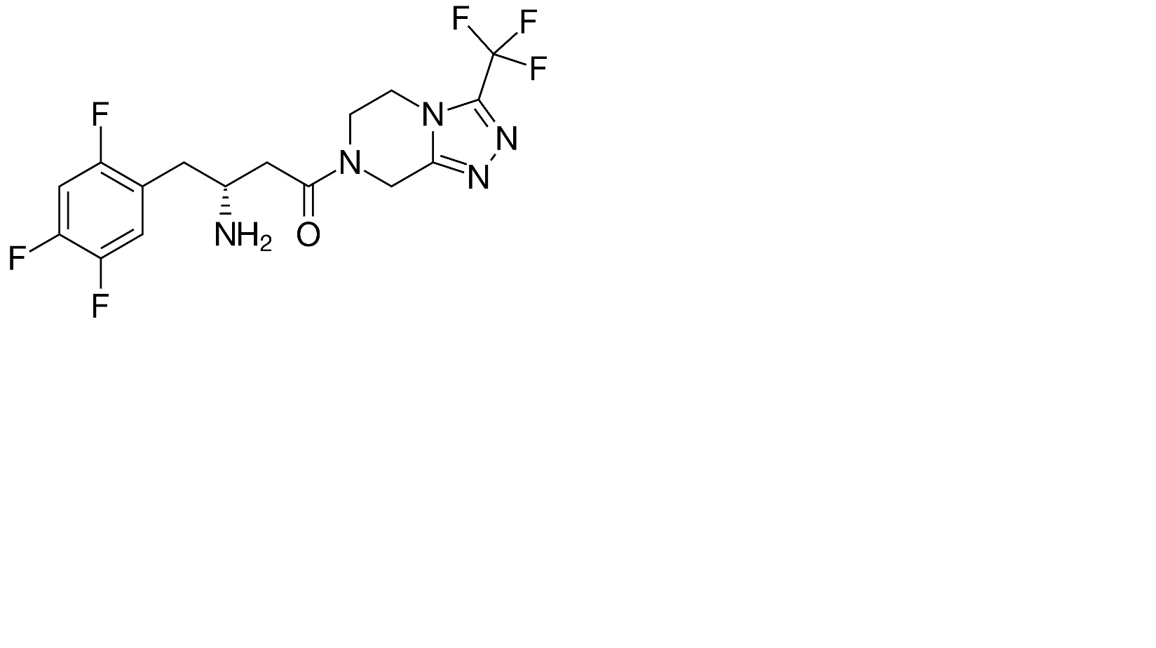
   Kjemisk struktur  

Mikstur
Stabilitet i blandinger   Mikstur   Stabilitet i blandinger : Sitagliptine phosphate     
Ingen opplysninger

  Mentions Légales