最新更新 :
27/01/2026
Infostab
薬剤一覧
まとめ一覧
互換性の検索
Yサイト対応表
引用文献
研究チーム
valistab
ポスター
接続
スポンサー
作成者
ユーザーガイド
ニュースレター
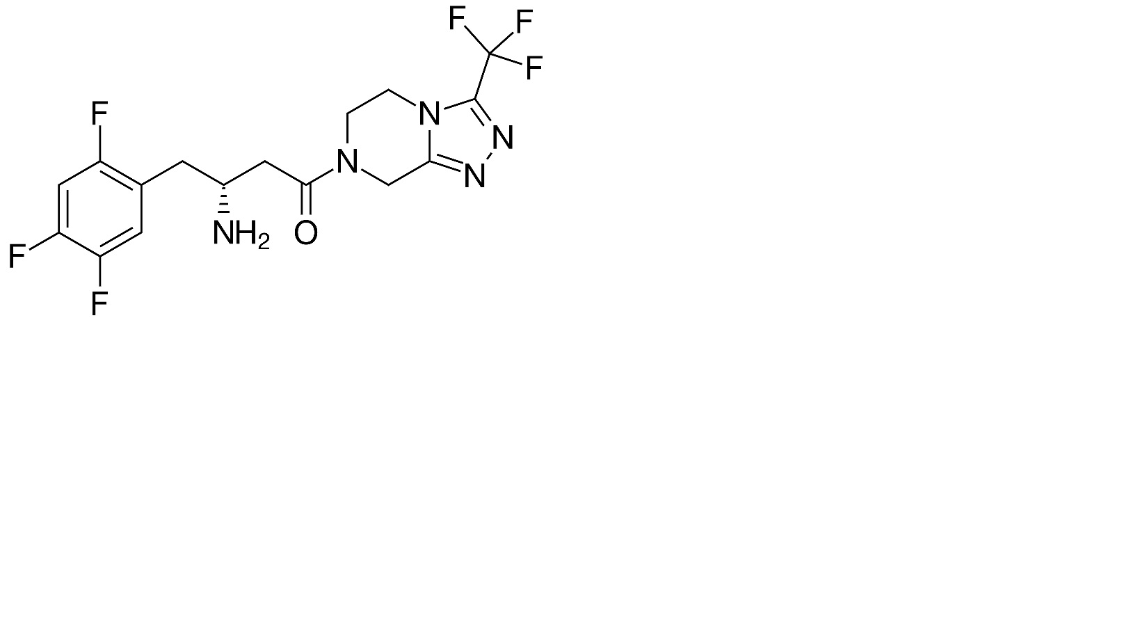
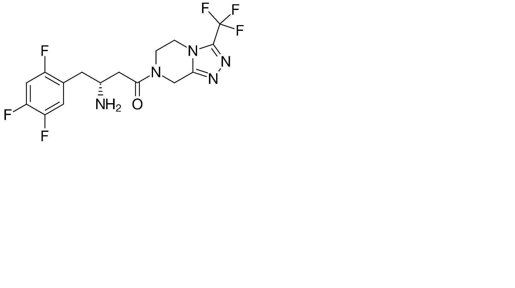
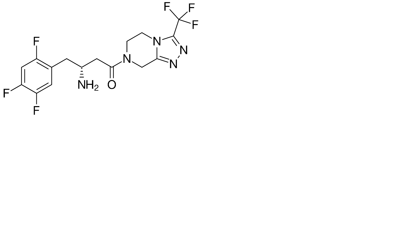
Sitagliptine phosphate
化学構造
引用文献 : Sitagliptine phosphate
形式
出版物
4679
雑誌
Zaid A.N, Abu Zaaror Y, Kaddumi A , Ghanem M , Jaradat N , Abu Salah T, Siaj S, Omari L.
Stability of extemporaneously prepared sitagliptin phosphate solution.
PlosOne 2022 17(3): e0262068.
Mentions Légales