Ultimo aggiornamento :
27/01/2026
Ipoglicemizzante   Sitagliptine phosphate  
Soluzione orale
Stabilità dei preparati farmaceutici Stabilità in miscela Fattori che influenzano la stabilità Compatibilità Bibliografia pdf
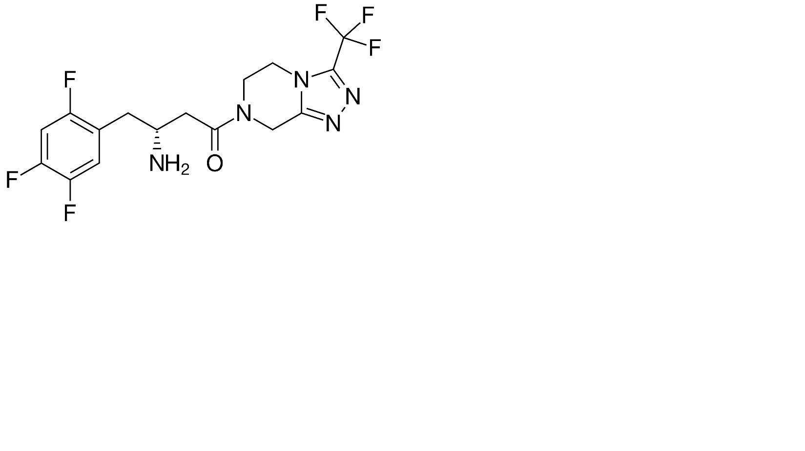
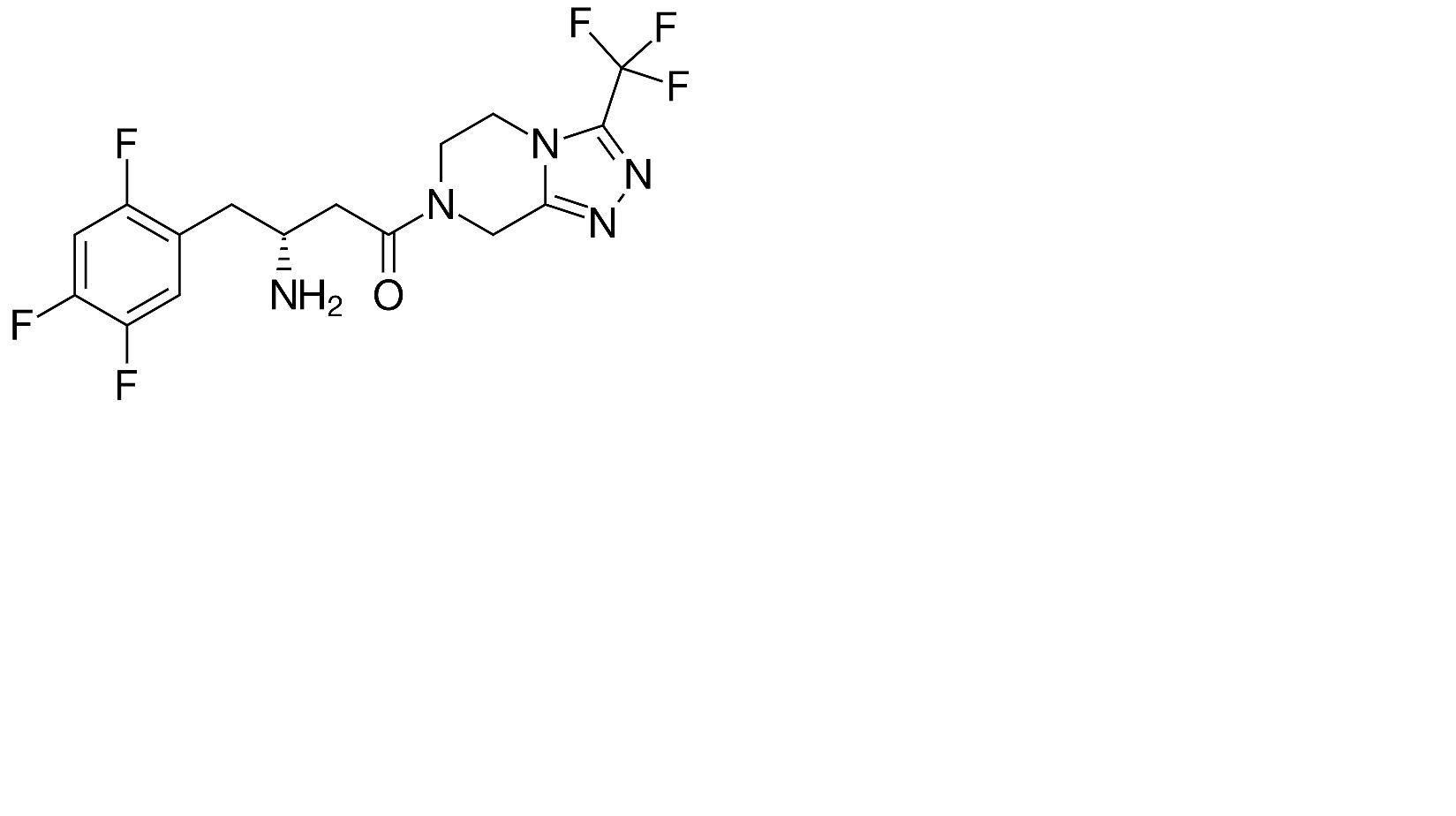
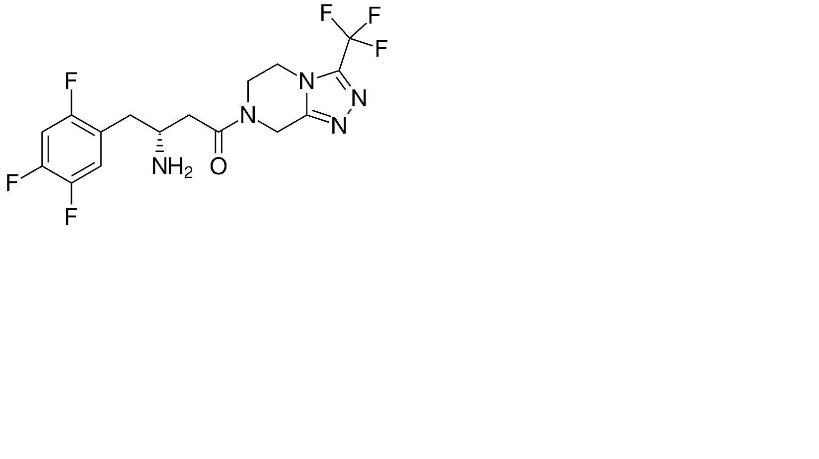
   Struttura chimica  

Soluzione orale
Bibliografia   Soluzione orale   Bibliografia : Sitagliptine phosphate  
tipo pubblicazione
4679 Rivista Zaid A.N, Abu Zaaror Y, Kaddumi A , Ghanem M , Jaradat N , Abu Salah T, Siaj S, Omari L.
Stability of extemporaneously prepared sitagliptin phosphate solution.
PlosOne 2022 17(3): e0262068.

  Mentions Légales