最新更新 :
27/01/2026
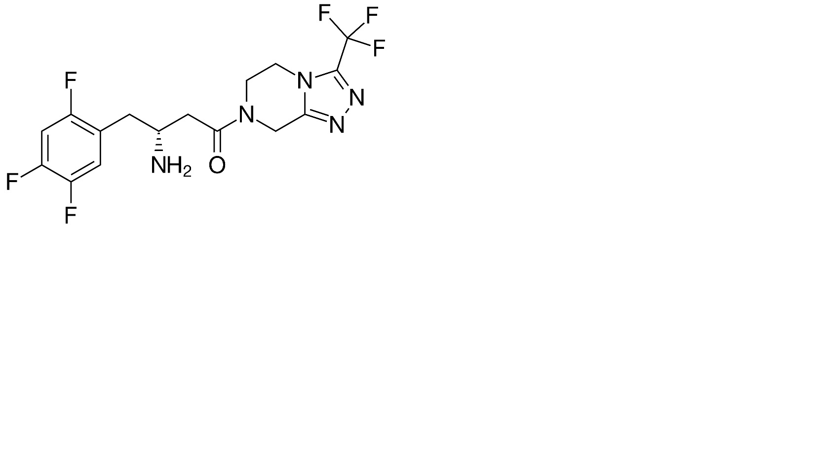
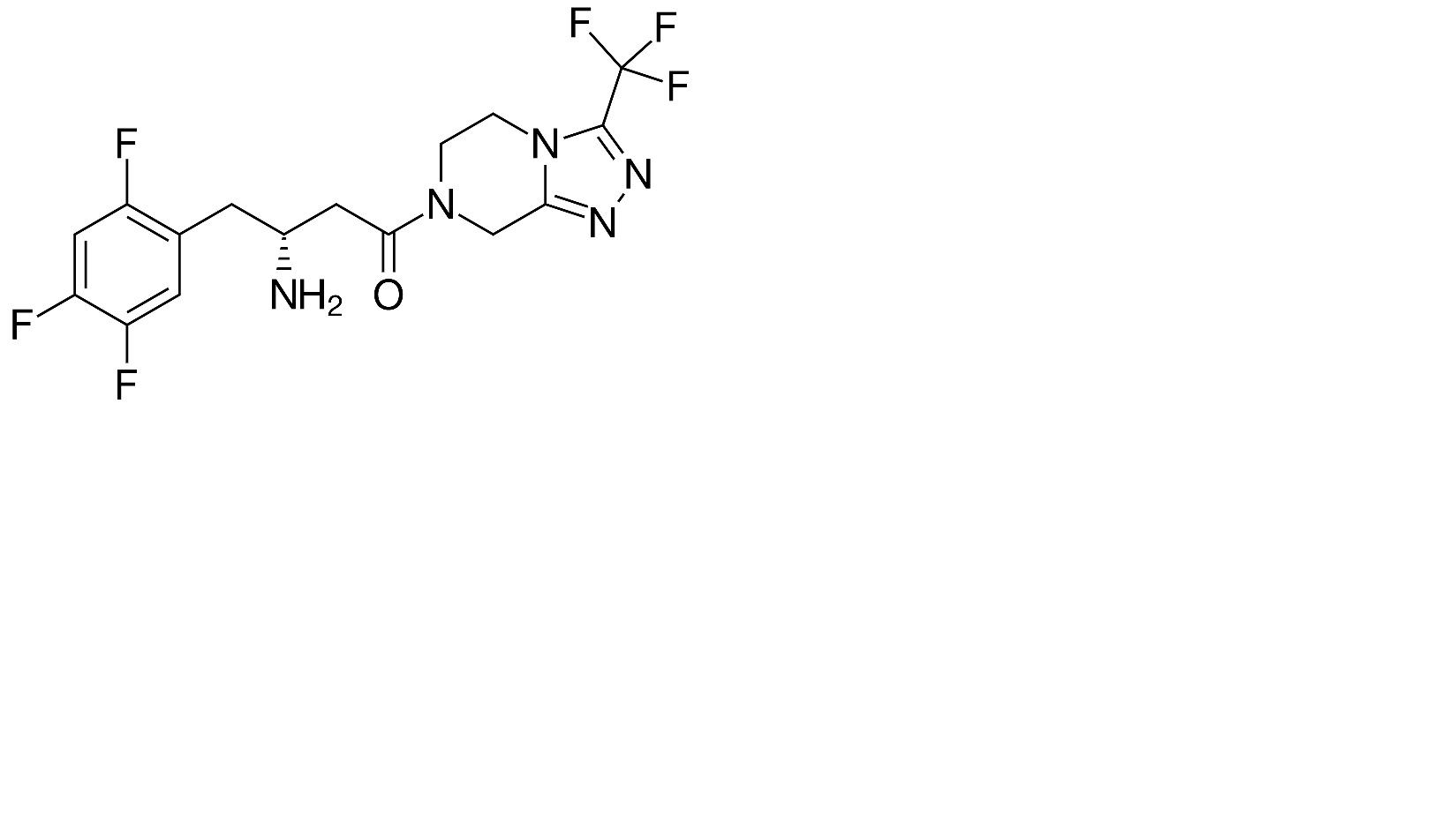
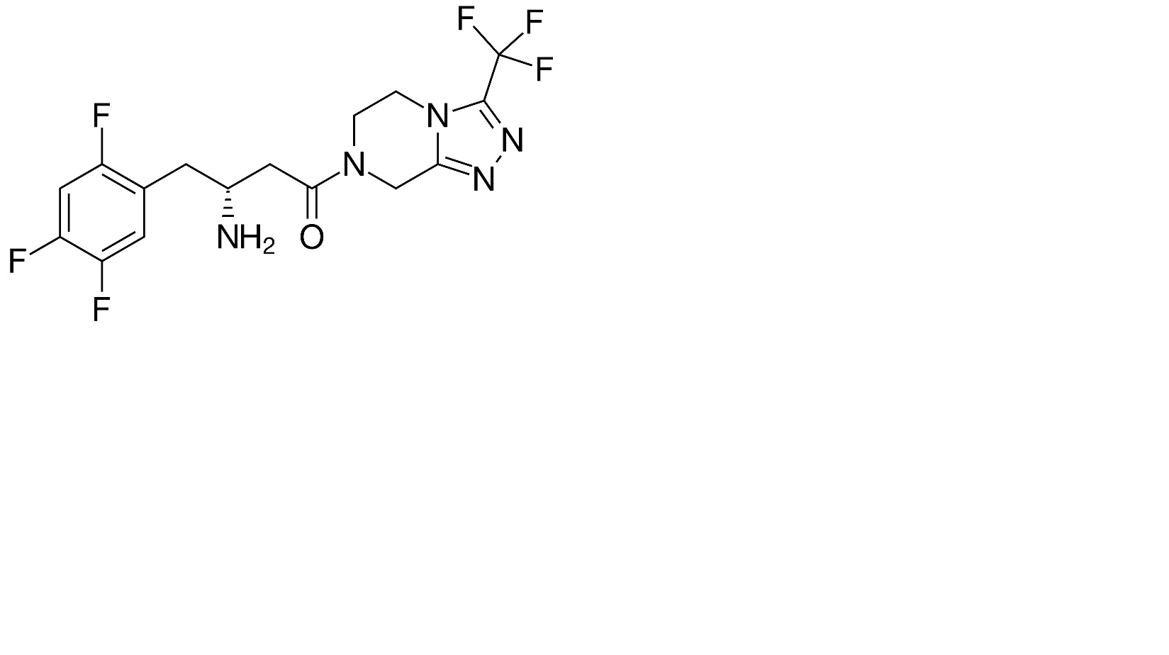
降血糖药   Sitagliptine phosphate  
口服剂
制剂的稳定性 混合物稳定性 影响稳定性的因素 兼容性 引用文献 PDF
   化学式  

口服剂
引用文献   口服剂   引用文献 : Sitagliptine phosphate  
种类 出版物
4679 文献 Zaid A.N, Abu Zaaror Y, Kaddumi A , Ghanem M , Jaradat N , Abu Salah T, Siaj S, Omari L.
Stability of extemporaneously prepared sitagliptin phosphate solution.
PlosOne 2022 17(3): e0262068.

  Mentions Légales