Última actualização :
27/04/2026
Infostab
Lista de compostos
Listas de leitura dos resumos de informação
Pesquise compatibilidades
Tabela de compatibilidade do site Y
Bibliografía
As equipas de investigação
valistab
poster
Conexões
patrocinadores
Autores
Manual do utilizador
Boletim de notícias
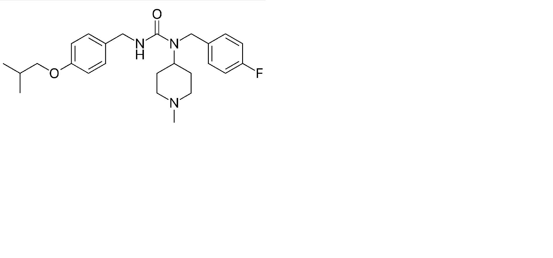
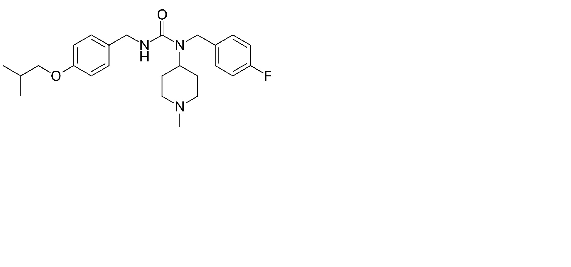
Pimavanserin
estrutura química
Bibliografía : Pimavanserin
tipo
publicação
4484
jornal
Bokser A D, Holmes Adegbenle Y, Stoisavljevic V, Norton J C.
In Vitro Stability and Recovery Studies of Pimavanserin in Water and in Different Vehicles Orally Administered.
Drugs R D 2022 ;22, 95–104
Mentions Légales