Seneste opdatering :
27/04/2026
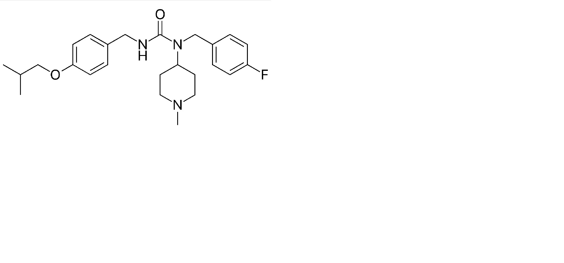
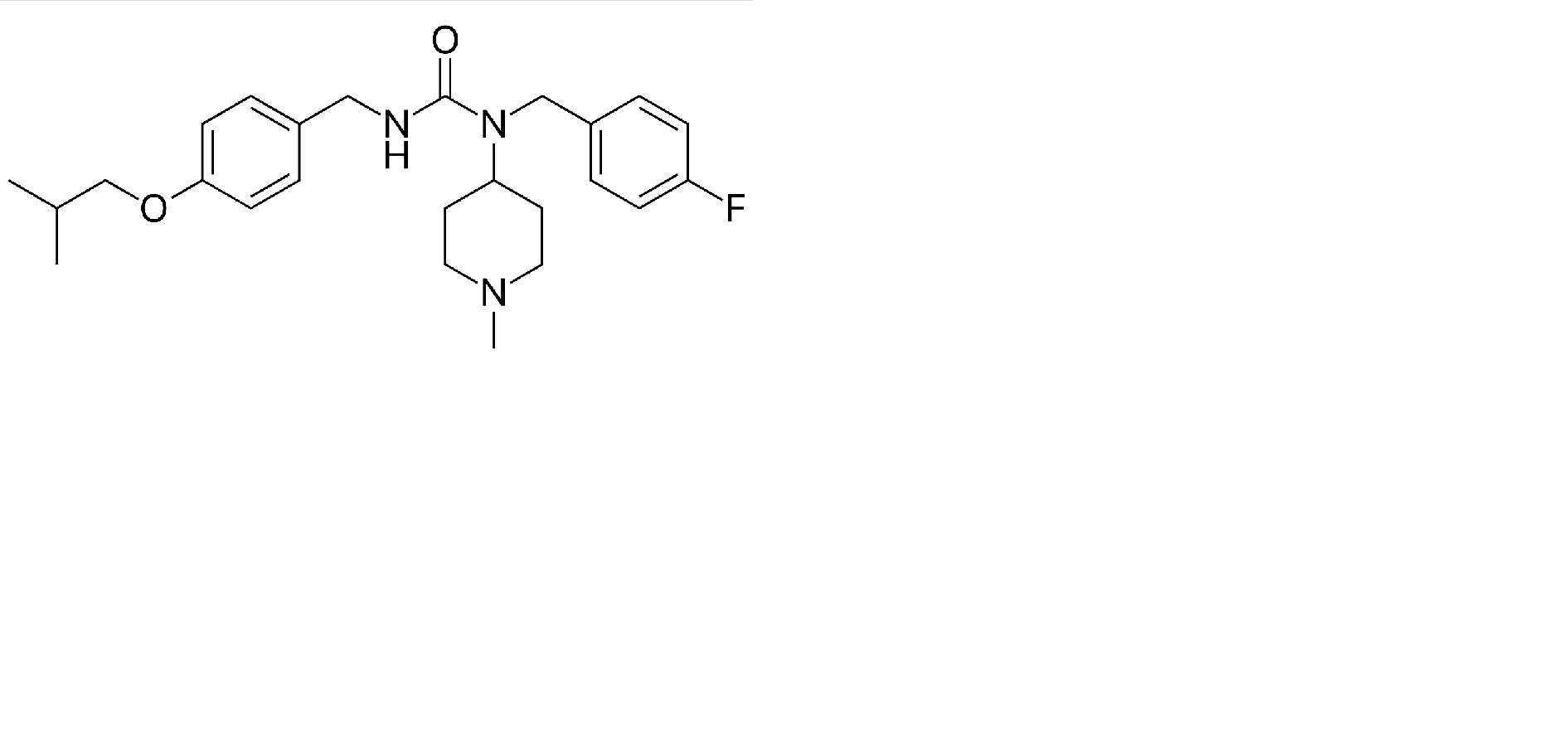
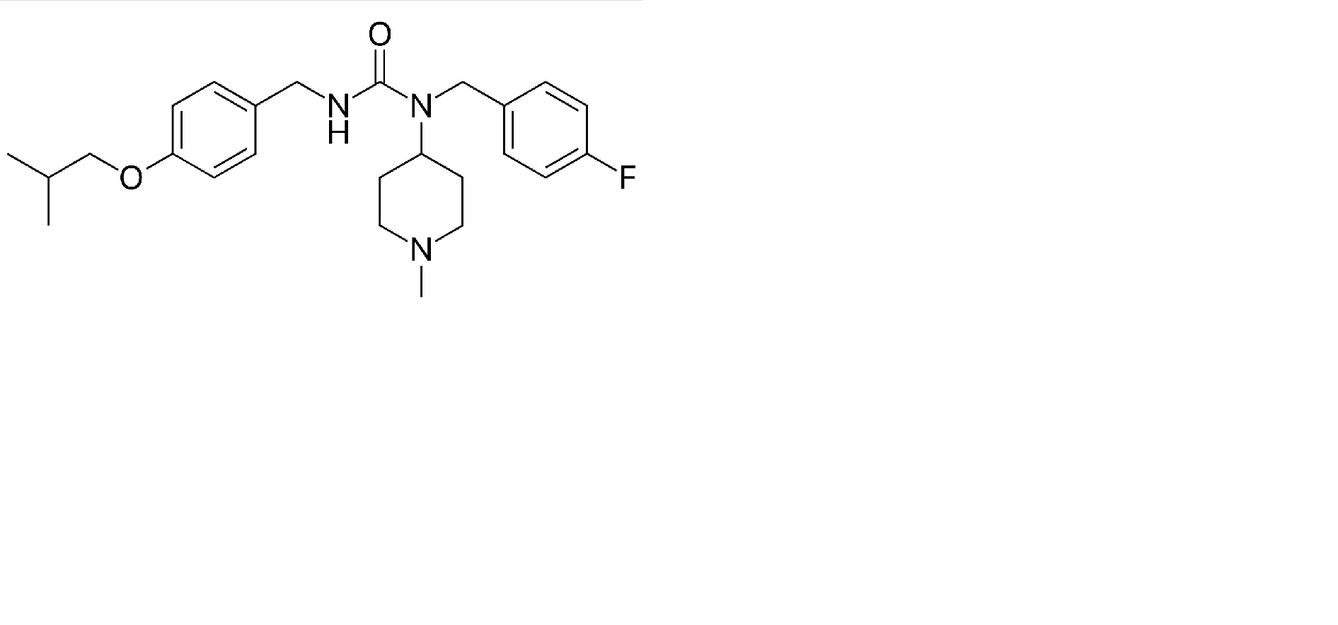
anti demens   Pimavanserin  
Oral opløsning
Stabilitet af farmaceutiske tilberedninger Stabilitet i blandinger Faktorer der påvirker stabiliteten Kompatibilitet Bibliografi pdf
   Kemisk struktur  

Oral opløsning
Bibliografi   Oral opløsning   Bibliografi : Pimavanserin  
Type offentliggørelse
4484 Journal Bokser A D, Holmes Adegbenle Y, Stoisavljevic V, Norton J C.
In Vitro Stability and Recovery Studies of Pimavanserin in Water and in Different Vehicles Orally Administered.
Drugs R D 2022 ;22, 95–104

  Mentions Légales