Dernière mise à jour :
27/01/2026
Infostab
Liste des molécules
Listes récapitulatives
Recherches de compatibilités
Tableau de compatibilités en Y
Bibliographie
Equipes de recherche
Valistab
Posters
Liens infostab
Partenaires
Auteurs
Manuel d'utilisation
Lettre d'actualité
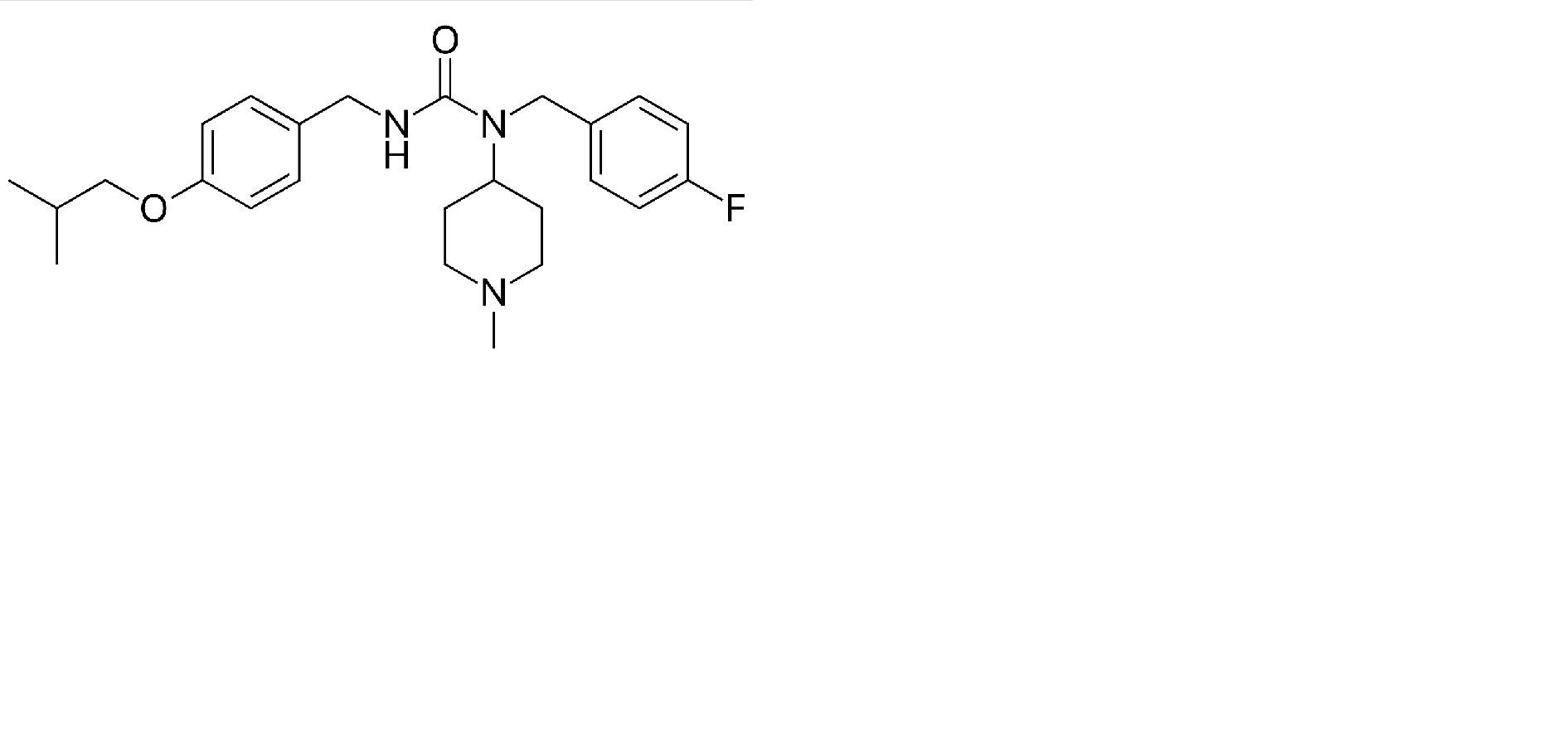
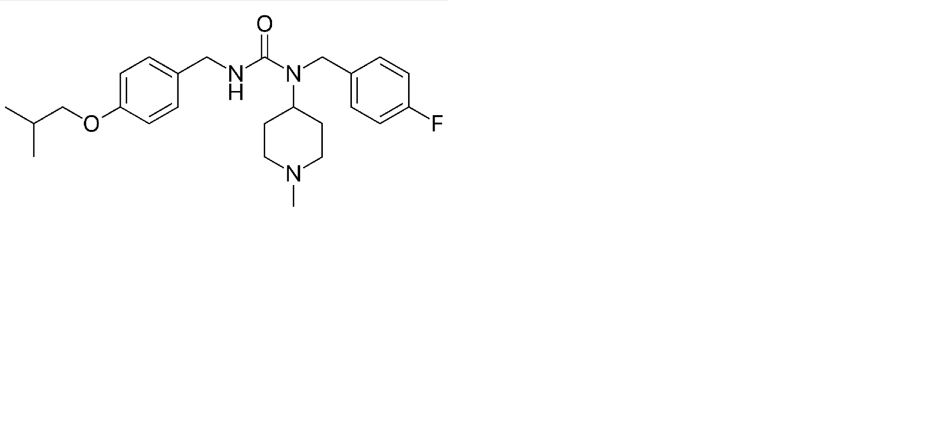
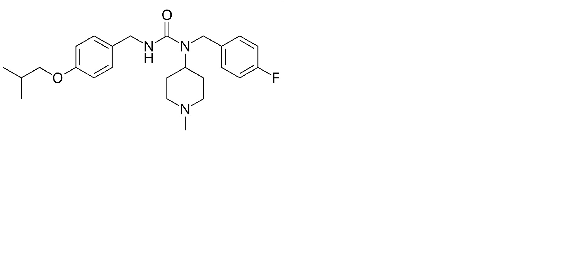
Pimavanserin
Structure chimique
Bibliographie : Pimavanserin
Type
Source
4484
Revue
Bokser A D, Holmes Adegbenle Y, Stoisavljevic V, Norton J C.
In Vitro Stability and Recovery Studies of Pimavanserin in Water and in Different Vehicles Orally Administered.
Drugs R D 2022 ;22, 95–104
Mentions Légales