Utolsó frissítés :
27/01/2026
Infostab
Listák
Összesítő lista
Kompatibilitások keresése
Y-site kompatibilitási táblázat
Irodalom
kutatócsoportok
valistab
poszter
Kapcsolatok
támogatók
Szerző
Felhasználói útmutató
Hírlevél
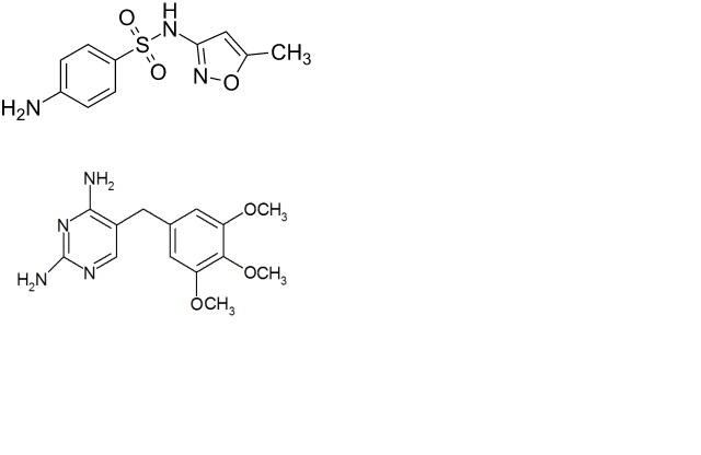
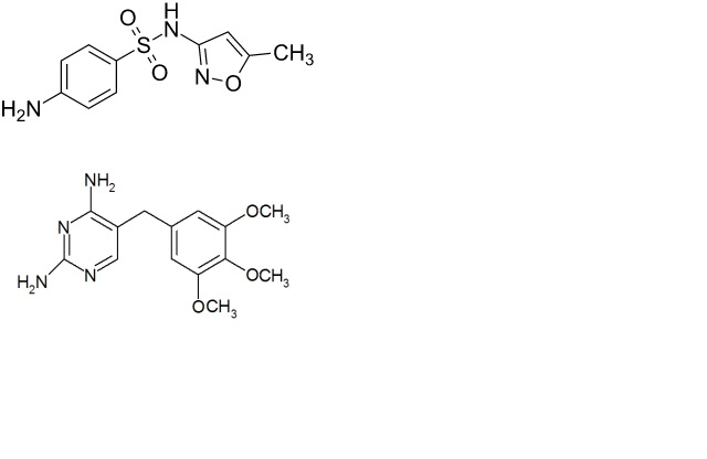
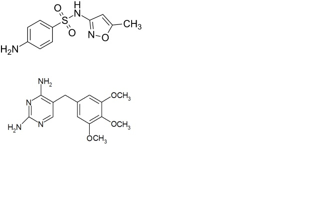
Co-trimoxazole
Kémiai szerkezet
Stabilitása gyógyszerészeti készítmények : Co-trimoxazole
2000/400 mg
® = ?
Oral Mix®
>> 50 mL
25°C
14
4638
2000/400 mg
® = ?
Oral Mix SF®
>> 50 mL
25°C
14
4638
2000/400 mg
® = ?
Oral Mix®
>> 50 mL
5°C
90
4638
2000/400 mg
® = ?
Oral Mix SF®
>> 50 mL
5°C
14
4638
100/20 mg
® = ?
Oral Mix®
>> 2,5 mL
25°C
14
4638
100/20 mg
® = ?
Oral Mix SF®
>> 2,5 mL
25°C
7
4638
100/20 mg
® = ?
Oral Mix®
>> 2,5 mL
5°C
90
4638
100/20 mg
® = ?
Oral Mix SF®
>> 2,5 mL
5°C
90
4638
Mentions Légales