Zadnji put ažurirano :
27/04/2026
antibiotik   Co-trimoxazole  
oralna otopina
injekcija
Stabilnost farmaceutskih pripravaka Stabilnost mješavine Stabilizacijski faktor Kompatibilnosti Bibliografija pdf
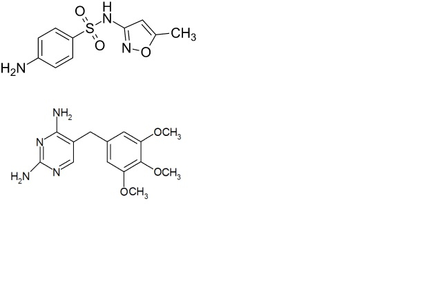
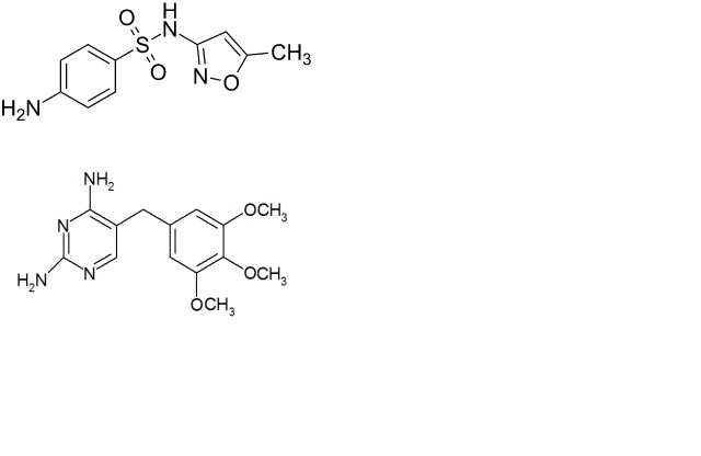
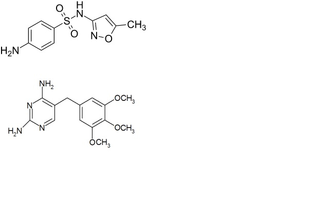
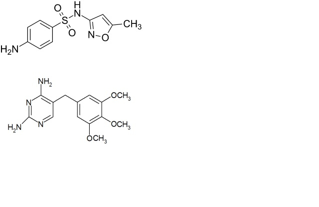
   Kemijska struktura  

oralna otopina
Stabilnost farmaceutskih pripravaka   oralna otopina     Stabilnost farmaceutskih pripravaka : Co-trimoxazole     
Kontejner Origine pomoćna tvar temperatura Konzerviranje Trajanje stabilnosti Bibliografija
plastična boca prašak 2000/400 mg
® = ?
Oral Mix® >> 50 mL
25°C Zaštićeno od svjetlosti
14 dan
4638

plastična boca prašak 2000/400 mg
® = ?
Oral Mix SF® >> 50 mL
25°C Zaštićeno od svjetlosti
14 dan
4638

plastična boca prašak 2000/400 mg
® = ?
Oral Mix® >> 50 mL
5°C Zaštićeno od svjetlosti
90 dan
4638

plastična boca prašak 2000/400 mg
® = ?
Oral Mix SF® >> 50 mL
5°C Zaštićeno od svjetlosti
14 dan
4638

šprica prašak 100/20 mg
® = ?
Oral Mix® >> 2,5 mL
25°C Zaštićeno od svjetlosti
14 dan
4638

šprica prašak 100/20 mg
® = ?
Oral Mix SF® >> 2,5 mL
25°C Zaštićeno od svjetlosti
7 dan
4638

šprica prašak 100/20 mg
® = ?
Oral Mix® >> 2,5 mL
5°C Zaštićeno od svjetlosti
90 dan
4638

šprica prašak 100/20 mg
® = ?
Oral Mix SF® >> 2,5 mL
5°C Zaštićeno od svjetlosti
90 dan
4638


  Mentions Légales