Останнє оновлення :
27/04/2026
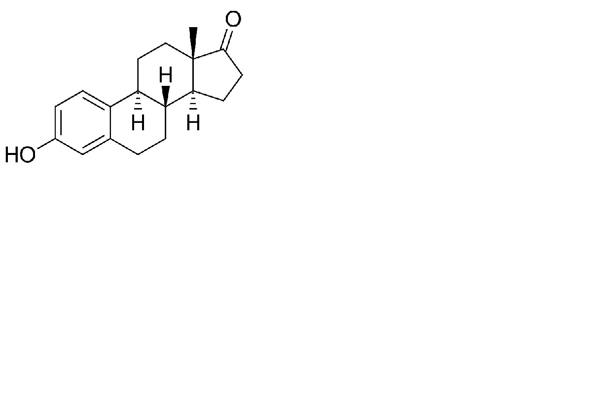
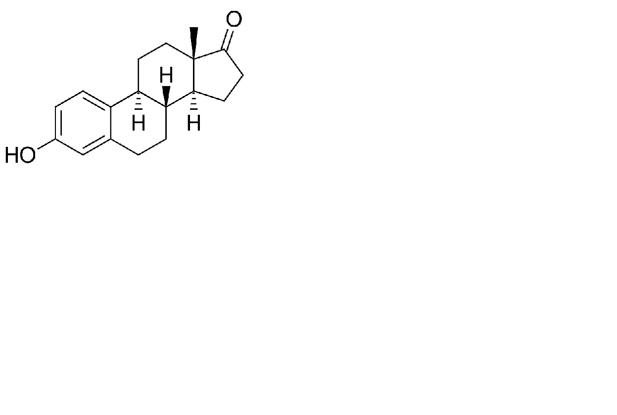
гормон   Estrone  
Мазі
Стабільність фармацевтичних препаратів Стійкість сумішей Фактори, що впливають на стабільність Сумісність Список літератури pdf
   Хімічна структура  

Мазі
Стабільність фармацевтичних препаратів   Мазі   Стабільність фармацевтичних препаратів : Estrone     
Контейнер Origine допоміжна речовина температура Зберігання Тривалість стабільності Список літератури
туба для мазі (алюміній) powder 100 mg
® = ?
Етоксидигліколь 5 g
Phytobase® (Fagron) >>100 g
15-25°C Берегти від світла
180 День
4577

туба для мазі (алюміній) powder 1 g
® = ?
Етоксидигліколь 5 g
Phytobase® (Fagron) >>100 g
15-25°C Берегти від світла
180 День
4577


  Mentions Légales