最新更新 :
27/04/2026
ホルモン薬   Estrone  
軟膏薬
調剤時の安定性 混合時の安定性 安定性に影響する因子 互換性 引用文献 PDF
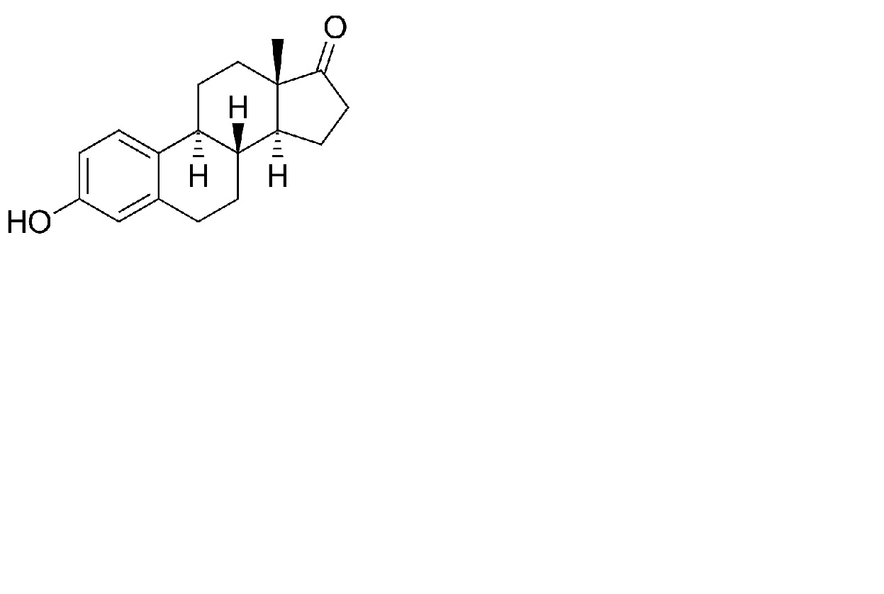
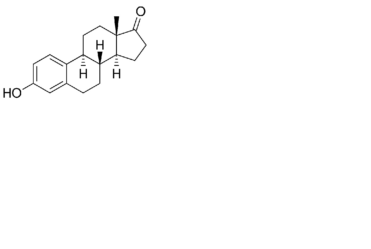
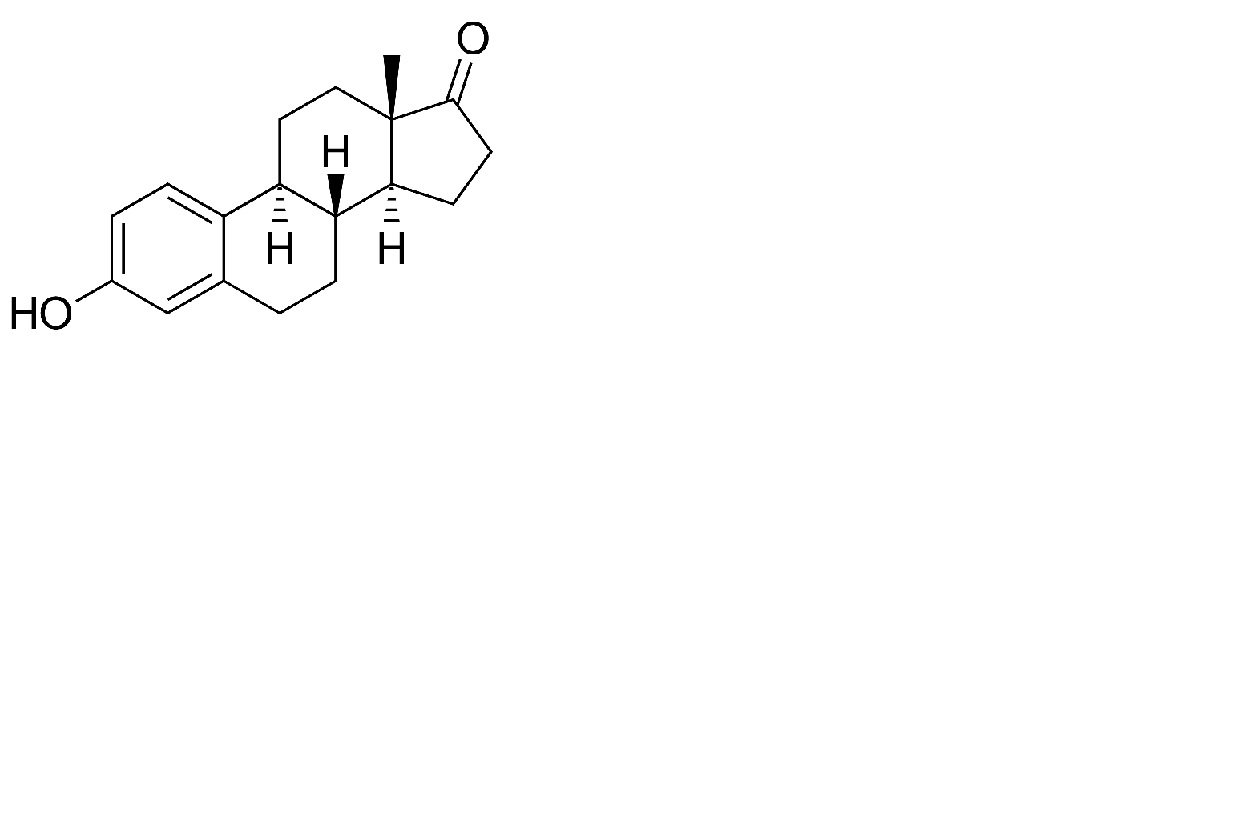
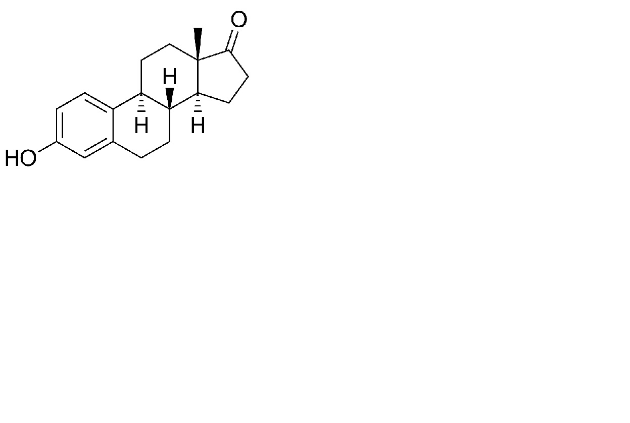
   化学構造  

軟膏薬
調剤時の安定性   軟膏薬   調剤時の安定性 : Estrone     
容器 Origine 添加剤 温度 保管 安定期間 引用文献
軟膏チューブ(アルミニウム) 粉 100 mg
® = ?
Ethoxydiglycol 5 g
Phytobase® (Fagron) >>100 g
15-25°C 遮光
180 日
4577

軟膏チューブ(アルミニウム) 粉 1 g
® = ?
Ethoxydiglycol 5 g
Phytobase® (Fagron) >>100 g
15-25°C 遮光
180 日
4577


  Mentions Légales