Последнее обновление :
27/04/2026
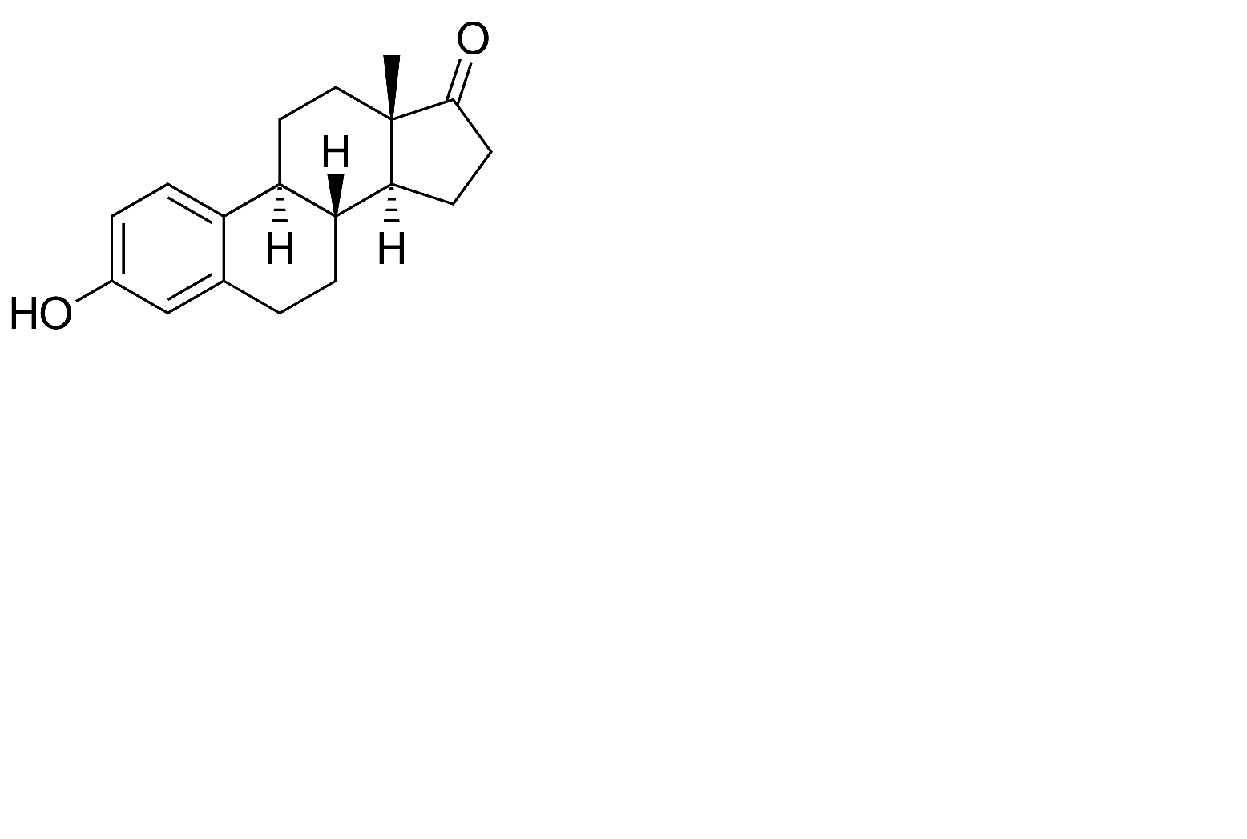
Гормон   Estrone  
Мази
Стабильность фармацевтических препаратов Стабильность смесей Факторы, которые влияют на стабильность Совместимость Библиография pdf
   Химическая структура  

Мази
Стабильность фармацевтических препаратов   Мази   Стабильность фармацевтических препаратов : Estrone     
Упаковка Origine Наполнитель Температура Хранение Продолжительность стабильности Ссылки
Тюбик для мази (алюминий) Порошок 100 mg
® = ?
Этоксидигликоль 5 g
Phytobase® (Fagron) >>100 g
15-25°C Защищён от света
180 День
4577

Тюбик для мази (алюминий) Порошок 1 g
® = ?
Этоксидигликоль 5 g
Phytobase® (Fagron) >>100 g
15-25°C Защищён от света
180 День
4577


  Mentions Légales