Останнє оновлення :
16/12/2025
Вітамін   Phytomenadione  
ін'єкція
Розчин для перорального застосування
Стійкість в розчинах Стійкість сумішей Фактори, що впливають на стабільність Сумісність Шлях введення Список літератури pdf
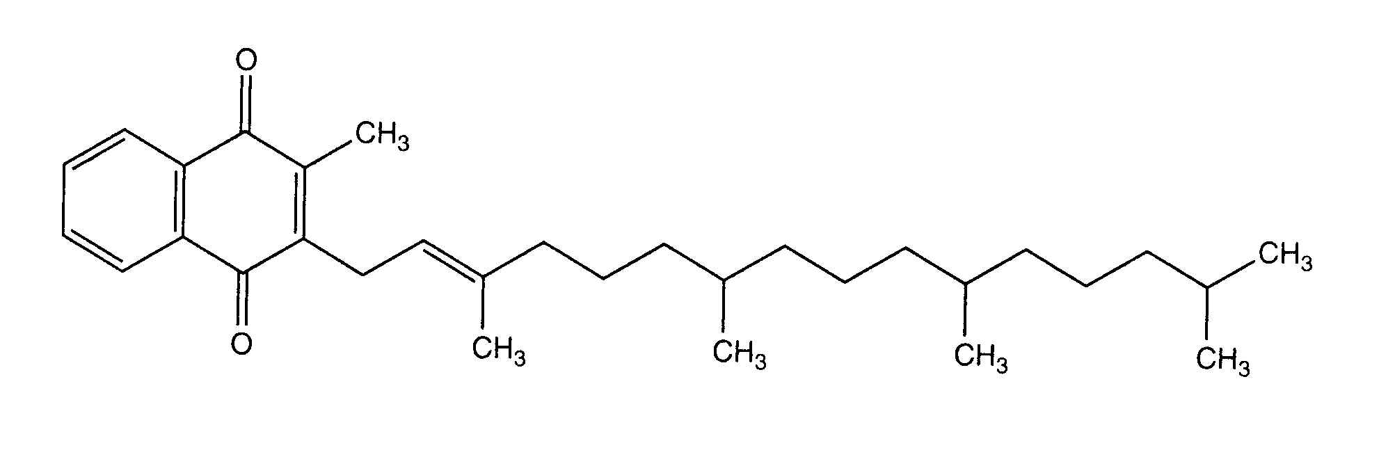
   Хімічна структура  

Торгова назва   Торгова назва     

Торгові назви є орієнтовними, а склад допоміжних речовин може бути різним залежно від країни та виробника

Adcokion Єгипет
Amidalak Мексика
Amri-K Єгипет
Aquamephyton Сполучені Штати Америки
Epikavit Єгипет
Haemokion Єгипет
Hyvit Бразилія
Kanakion Бразилія, Португалія
Kavit Бразилія
Kenadion Індія
Kisan Малайзія
Konakion Єгипет, Ірландія, Ісландія, Іспанія, Італія, Австрія, Аргентина, Бельгія, Великобританія, Греція, Данія, Еквадор, Колумбія, Люксембург, Марокко, Нідерланди, Німеччина, Нова Зеландія, Норвегія, Об'єднані Арабські Емірати, Польща, Саудівська Аравія, Туреччина, Угорщина, Фінляндія, Хорватія, Чилі, Швейцарія, Швеція
Oskavit Іран
Rupek Аргентина
Vikadic Іран
Vitatron Бразилія
Стійкість в розчинах   ін'єкція   Стійкість в розчинах : Phytomenadione     
7 / 5 000 Résultats de traduction Немає даних

  Mentions Légales