最新更新 :
27/01/2026
维生素   Phytomenadione  
注射液
口服剂
溶液稳定性 混合物稳定性 影响稳定性的因素 兼容性 用药途径 引用文献 PDF
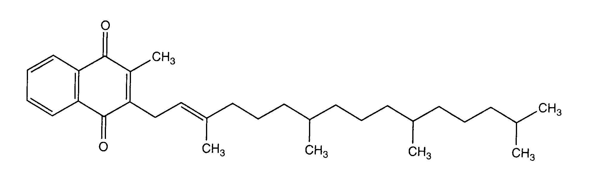
   化学式  

商品名   商品名     

商品名仅供参考, 药品所用的辅料可能依国家或厂商不同有所不同。

Adcokion 埃及
Amidalak 墨西哥
Amri-K 埃及
Aquamephyton 美国
Epikavit 埃及
Haemokion 埃及
Hyvit 巴西
Kanakion 巴西, 葡萄牙
Kavit 巴西
Kenadion 印度
Kisan 马来西亚
Konakion 丹麦, 克罗地亚, 冰岛, 匈牙利, 卢森堡, 厄瓜多尔, 哥伦比亚, 土耳其, 埃及, 奥地利, 希腊, 德国, 意大利, 挪威, 摩洛哥, 新西蘭, 智利, 比利时, 沙特阿拉伯, 波兰, 爱尔兰, 瑞典, 瑞士, 芬兰, 英国, 荷兰, 西班牙, 阿根廷, 阿联酋
Oskavit 伊朗
Rupek 阿根廷
Vikadic 伊朗
Vitatron 巴西
溶液稳定性   注射液   溶液稳定性 : Phytomenadione     
无数据

  Mentions Légales