Cập nhật lần cuối :
18/03/2026
Vitamin   Phytomenadione  
Dạng tiêm
Dung dịch uống
Tính ổn định của các dung dịch Độ ổn định khi trộn lẫn Những yếu tố ảnh hưởng đến độ ổn định Khả năng tương thích Đường dùng Tài liệu tham khảo Pdf
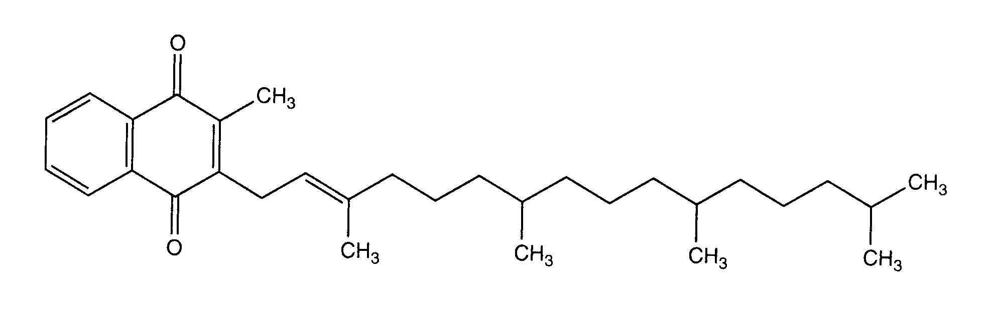
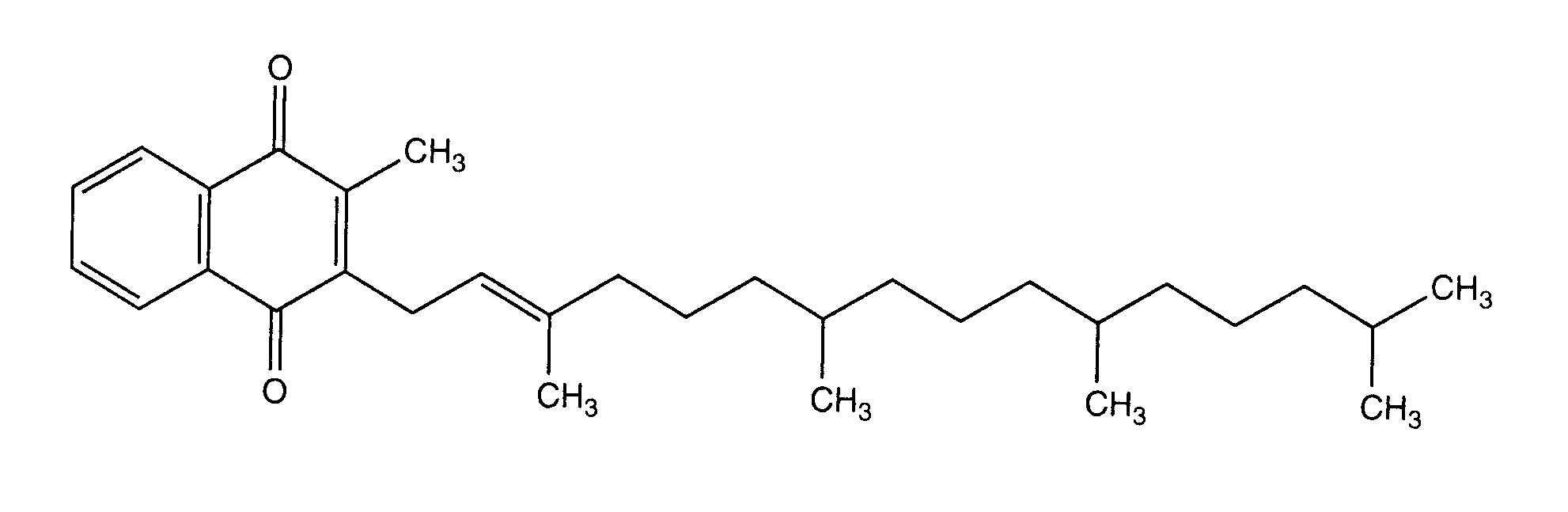
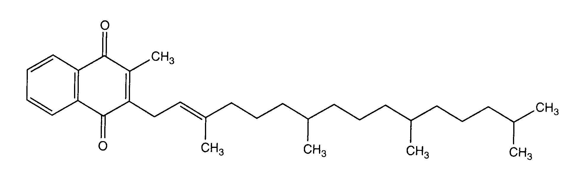
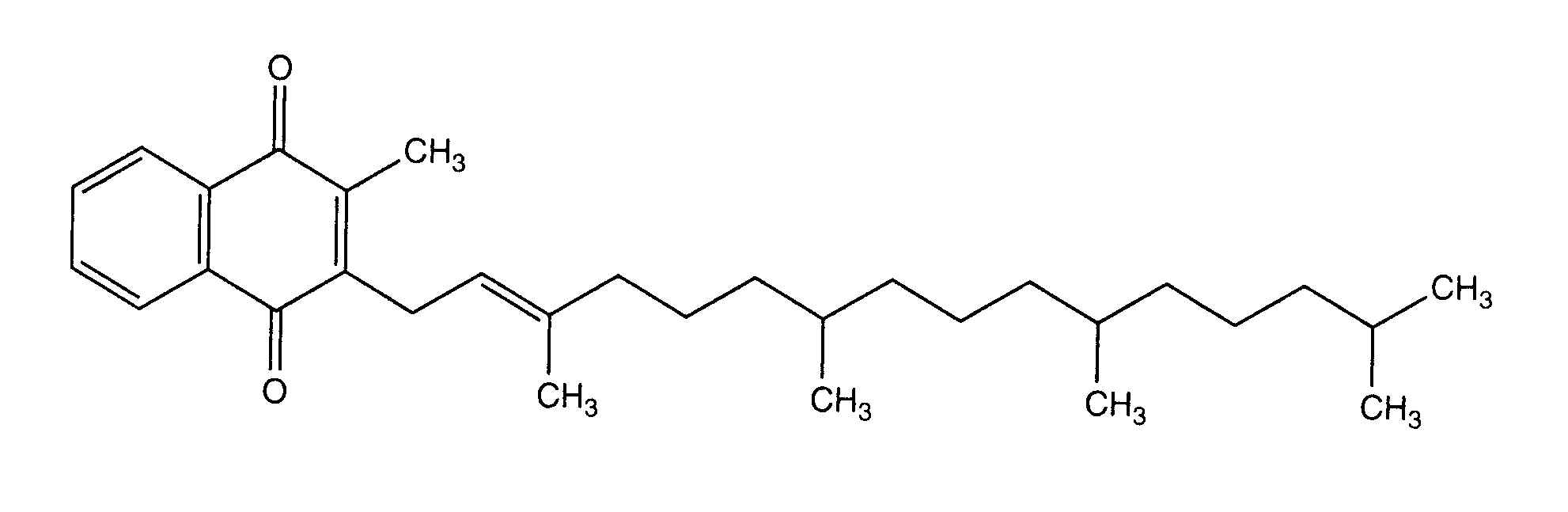
   Cấu trúc hóa học  

Tên thương mại   Tên thương mại     

Các tên thương mại được cung cấp và thành phần tá dược có thể khác nhau giữa các quốc gia và các hãng dược

Adcokion Ả Rập
Amidalak Mexico
Amri-K Ả Rập
Aquamephyton Hoa Kỳ
Epikavit Ả Rập
Haemokion Ả Rập
Hyvit Brazil
Kanakion Bồ Đào Nha, Brazil
Kavit Brazil
Kenadion Ấn Độ
Kisan Malaysia
Konakion Ả Rập, Ả Rập Saudi, Anh, Áo, Argentina, Ba Lan, Bỉ, Chile, Colombia, Croatia, Ecuador, Hà Lan, Hungary, Hy Lạp, Iceland, Ireland, Luxembourg, Morocco, Na Uy, new zealand, Phần Lan, Tây Ban Nha, Thổ Nhĩ Kỳ, Thụy Sỹ, Thụy Điển, United Arab Emirates, Ý, Đan Mạch, Đức
Oskavit Iran
Rupek Argentina
Vikadic Iran
Vitatron Brazil
Tính ổn định của các dung dịch   Dạng tiêm   Tính ổn định của các dung dịch : Phytomenadione     
Không có dữ liệu

  Mentions Légales