Ultimele actualizari :
27/01/2026
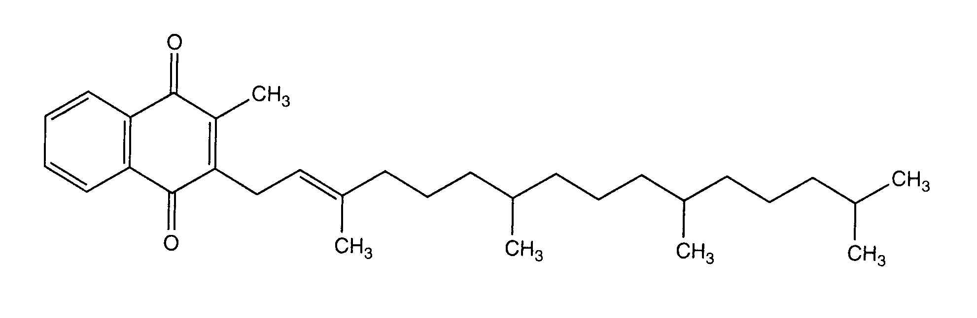
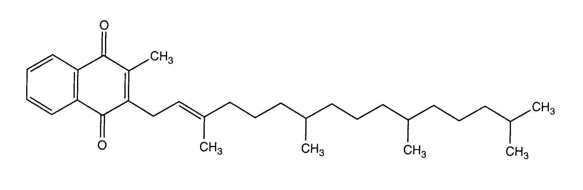
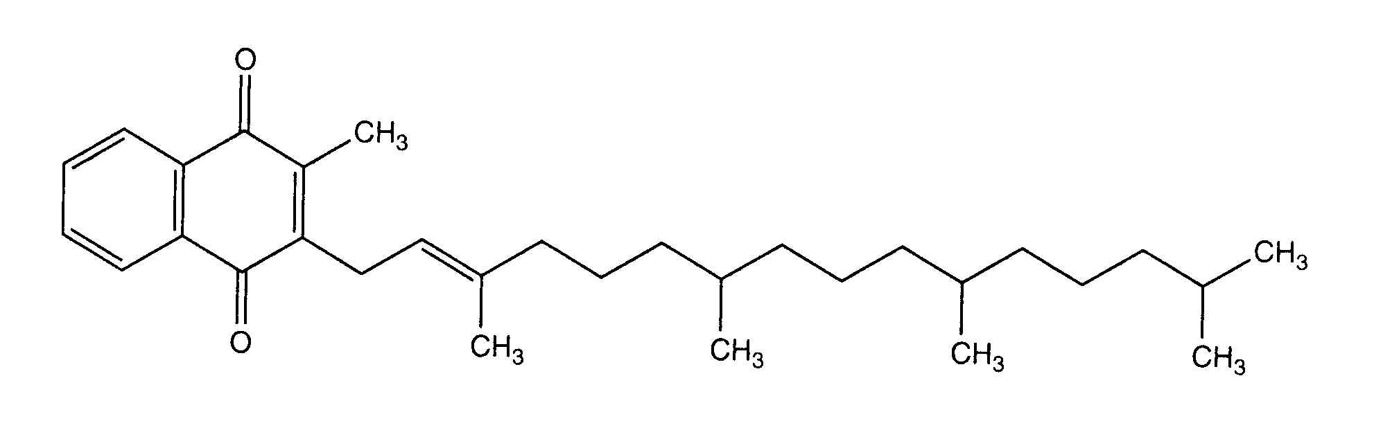
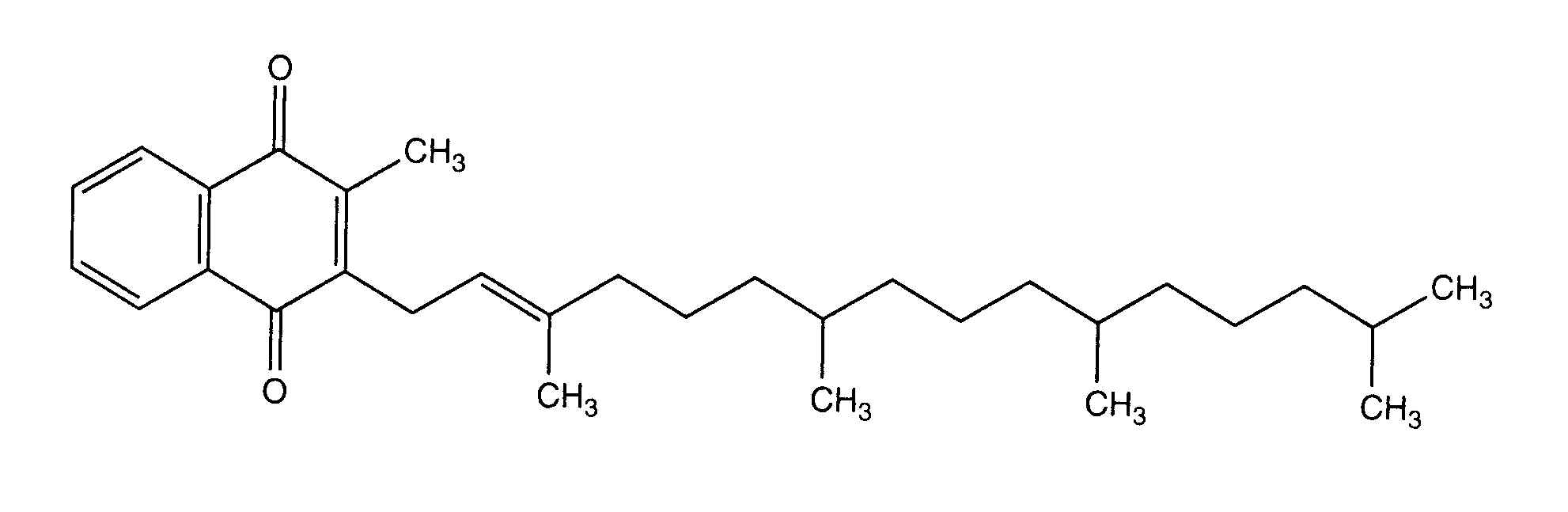
Vitamina   Phytomenadione  
Injectabil
Soluţie orală
Stabilitatea in solutie Stabilitatea in amestec Factorii care influenteaza stabilitatea Compatibilitate Microunde Bibliografie pdf
   Formula chimica  

Denumirea comerciala   Denumirea comerciala     

Trade names are indicative and excipients composition can be different depending on the country and manufacturers

Adcokion Egipt
Amidalak Mexic
Amri-K Egipt
Aquamephyton SUA
Epikavit Egipt
Haemokion Egipt
Hyvit Brazilia
Kanakion Brazilia, Portugalia
Kavit Brazilia
Kenadion India
Kisan Malaezia
Konakion Arabia Saudita, Argentina, Austria, Belgia, Chilli, Columbia, Croatia, Danemarca, Ecuador, Egipt, Elvetia, Emiratele Arabe Unite, Finlanda, Germania, Grecia, Irlanda, Islanda, Italia, Luxemburg, Marea Britanie, Maroc, Norvegia, noua Zeelandă, Olanda, Polonia, Spania, Suedia, Turcia, Ungaria
Oskavit Iran
Rupek Argentina
Vikadic Iran
Vitatron Brazilia
Stabilitatea in solutie   Injectabil   Stabilitatea in solutie : Phytomenadione     
Absenta de date

  Mentions Légales