Ultimo aggiornamento :
27/01/2026
Vasodilatatore   Minoxidil  
Soluzione orale
Unguenti
Stabilità dei preparati farmaceutici Stabilità in miscela Fattori che influenzano la stabilità Compatibilità Bibliografia pdf
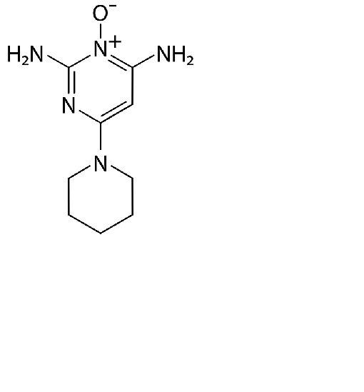
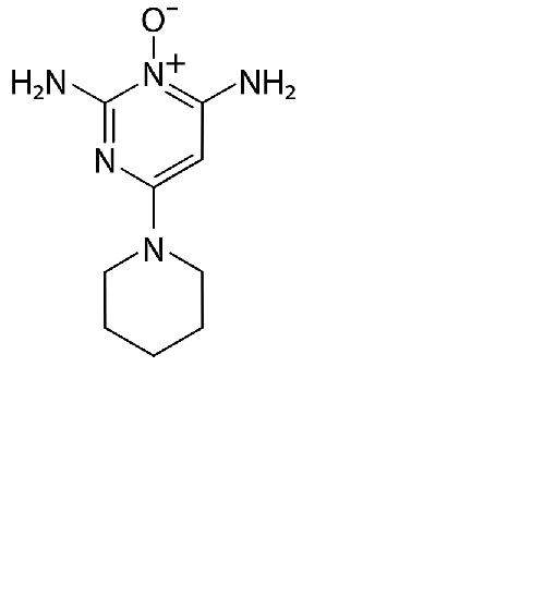
   Struttura chimica  

Soluzione orale
Bibliografia   Soluzione orale   Bibliografia : Minoxidil  
tipo pubblicazione
4075 Rivista Song Y, Whey Chin Z, Ellis D, Mon Phyo Lwin E, Turner S, Williams D, Garg S.
Stability of an extemporaneously compounded minoxidil oral suspension.
Am J Health-Syst Pharm 2018 ;75,5: 309-315

  Mentions Légales